IRS Tax Forms  
Publication 571 2001 Tax Year

Figuring MAC

Pencil: After completing the worksheets, you should maintain them with your 403(b) records for that year. Do not attach them to your tax return. At the end of the year or the beginning of the next year, you should compare your estimated compensation figures with your actual figures.

If your compensation is the same as, or more than, the projected amounts and the calculations are correct, then you should simply file these worksheets with your other tax records for the year.

If your compensation was lower than your estimated figures, you will need to check the amount contributed during the year to determine if contributions are more than your MAC.


When Should I Figure MAC?

At the beginning of each year, you should figure your MAC using a conservative estimate of your compensation. Should your income change during the year, you should refigure your MAC based on a revised conservative estimate. By doing this, you will be able to determine if contributions to your 403(b) account should be increased or decreased for the year.

Figuring MAC for the Current Year

If you are figuring your MAC for the current year, you should use a conservative estimate of your compensation.

If you can figure your MAC for 2001 using one of the three alternative limits, you should figure your MAC using both the selected alternative limit and the general limit.

Caution: Before selecting an alternative limit, read Chapter 6, Alternative Limits on Annual Additions.


Checking the Previous Year's Contributions

At the beginning of the following year, you should refigure your MAC based on your actual earned income.

At the end of the current year or the beginning of the next year, you should check your contributions to be sure you did not exceed your MAC. This means refiguring your limit based on your actual compensation figures for the year. This will allow you to determine if the amount contributed is more than the allowable amounts, and possibly avoid additional taxes.

Available Worksheets

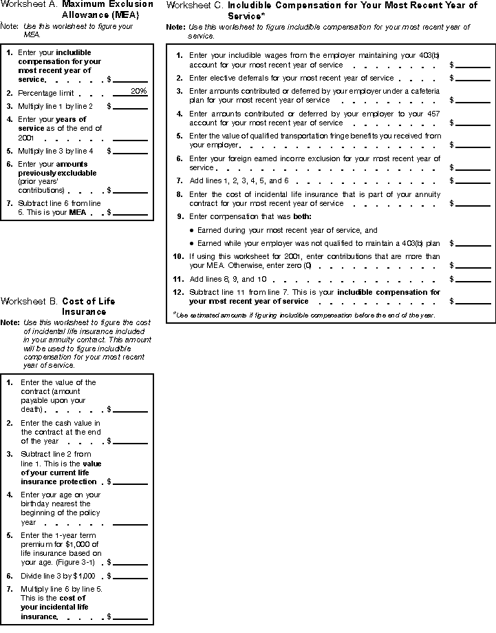
The following worksheets have been provided to help you figure components of your MAC.

  • Worksheet A. Maximum Exclusion Allowance (MEA).
  • Worksheet B. Cost of Life Insurance.
  • Worksheet C. Includible Compensation for Your Most Recent Year of Service.
  • Worksheet D. Limit on Annual Additions for 2001.
  • Worksheet E. Compensation Calculation -- Limit on Annual Additions.
  • Worksheet F. Limit on Elective Deferrals.
  • Worksheet G. Limit on Annual Additions for 2002.
  • Worksheet H. Catch-Up Contributions.

Worksheets 1 through 5, and 7 will help you figure MAC. Worksheet 6 will help your determine if you have excess contributions.

  • Worksheet 1. Maximum Amount Contributable (No Alternatives) for 2001.
  • Worksheet 2. Year of Separation From Service Limit.
  • Worksheet 3. Overall Limit.
  • Worksheet 4. Any Year Limit.
  • Worksheet 5. Limit on Nonelective Contributions.
  • Worksheet 6. Calculation of Excess 403(b) Contributions for 2001.
  • Worksheet 7. Maximum Amount Contributable (MAC) for 2002.

.

Worksheets A thru C

Worksheets D thru E

Worksheet 1 - Maximum Amount contributable (no alternatives) for 2001

Worksheet 2 - Year of Separation from Service Limit

Worksheet 3 - Overall Limit

Worksheet 4 - Any Year Limit

Worksheet 5 - Nonelective Contributions

Worksheet 6 Calculation of Excess 403(b) Conributions

Worksheet 7. Maximum Amount Contributable (MAC) for 2002

Previous| First | Next

Publication Index | IRS-Forms Main | Home