IRS Tax Forms
Home
>
IRS Tax Forms
>
2001
>
Publications
> Publication 596
Publication 596
2001 Tax Year
Appendix
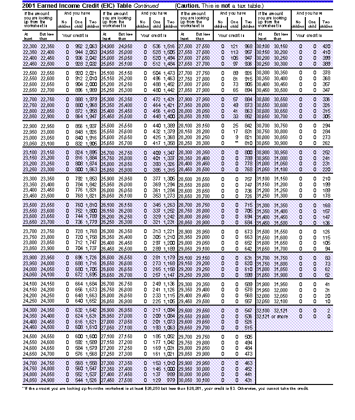
Earned Income Credit (EIC) Table
Earned Income Credit (EIC) Table
Earned Income Credit (EIC) Table
Previous
|
First
|
Next
Publication Index
|
IRS-Forms Main
|
Home
© 2004,
UncleFed.com