2000 Tax Help Archives  

Publication 939 2000 Tax Year

How To Use Actuarial Tables

This is archived information that pertains only to the 2000 Tax Year. If you
are looking for information for the current tax year, go to the Tax Prep Help Area.

In figuring, under the General Rule, the taxable part of your annuity payments that you are to get for the rest of your life (rather than for a fixed number of years), you must use one or more of the actuarial tables in this publication.

Unisex Annuity Tables

Effective July 1, 1986, the Internal Revenue Service adopted new annuity Tables V through VIII, in which your sex is not considered when determining the applicable factor. These tables correspond to the old Tables I through IV. In general, Tables V through VIII must be used if you made contributions to the retirement plan after June 30, 1986. If you made no contributions to the plan after June 30, 1986, generally you must use only Tables I through IV. However, if you received an annuity payment after June 30, 1986, you may elect to use Tables V through VIII (see Annuity received after June 30, 1986, later).

Special Elections

Although you generally must use Tables V through VIII if you made contributions to the retirement plan after June 30, 1986, and Tables I through IV if you made no contributions after June 30, 1986, you can make the following special elections to select which tables to use.

Contributions made both before July 1986 and after June 1986. If you made contributions to the retirement plan both before July 1986 and after June 1986, you may elect to use Tables I through IV for the pre-July 1986 cost of the contract, and Tables V through VIII for the post-June 1986 cost. (See the examples below.)

Making the election. Attach this statement to your income tax return for the first year in which you receive an annuity:

"I elect to apply the provisions of paragraph (d) of section 1.72-6 of the Income Tax Regulations."

The statement must also include your name, address, social security number, and the amount of the pre-July 1986 investment in the contract.

Caution:

If your investment in the contract includes post-June 1986 contributions to the plan, and you do not make the election to use Tables I through IV and Tables V through VIII, then you can only use Tables V through VIII in figuring the taxable part of your annuity. You must also use Tables V through VIII if you are unable or do not wish to determine the portions of your contributions which were made before July 1, 1986 and after June 30, 1986.

Advantages of election. In general, a lesser amount of each annual annuity payment is taxable if you separately figure your exclusion ratio for pre-July 1986 and post-June 1986 contributions.

TaxTip:

If you intend to make this election, save your records that substantiate your pre-July 1986 and post-June 1986 contributions. If the death benefit exclusion applies (see discussion, earlier), you do not have to apportion it between the pre-July 1986 and the post-June 1986 investment in the contract.

The following examples illustrate the separate computations required if you elect to use Tables I through IV for your pre-July 1986 investment in the contract and Tables V through VIII for your post-June 1986 investment in the contract.

Example 1. Bill Green, who is single, contributed $42,000 to the retirement plan and will receive an annual annuity of $24,000 for life. Payment of the $42,000 contribution is guaranteed under a refund feature. Bill is 55 years old as of the annuity starting date. For figuring the taxable part of Bill's annuity, he chose to make separate computations for his pre-July 1986 investment in the contract of $41,300, and for his post-June 1986 investment in the contract of $700.

Pre - July
1986
Post - June
1986
A. Adjustment for Refund Feature
1) Net cost $41,300 $700
2) Annual annuity--$24,000   ($41,300/$42,000 x $24,000) $23,600
 ($700/42,000 x $24,000) $400
3) Guarantee under contract $41,300 $700
4) No. of years payments   guaranteed (rounded), A(3) x A(2) 2 2
5) Applicable percentage from   Tables III and VII 1% 0%
6) Adjustment for value of refund   feature, A(5) x smaller of A(1)   or A(3) $413 $0
B. Investment in the Contract
1) Net cost $41,300 $700
2) Minus: Amount in A(6) 413 0
3) Investment in the contract $40,887 $700
C. Expected return
1) Annual annuity receivable $24,000 $24,000
2) Multiples from Tables I and V 21.7 28.6
3) Expected return, C(1) x C(2) $520,800 $686,400
D. Tax-free part of annuity
1) Exclusion ratio as decimal,   B(3) x C(3) .079 .001
2) Tax-free part, C(1) x D(1) $1,896 $24

The tax-free part of Bill's total annuity is $1,920 ($1,896 plus $24). The taxable part of his annuity is $22,080 ($24,000 minus $1,920). If the annuity starting date is after 1986, the exclusion over the years cannot exceed the net cost (figured without any reduction for a refund feature).

Example 2. Al Brown is age 62 at his nearest birthday to the annuity starting date. Al's wife is age 60 at her nearest birthday to the annuity starting date. The joint and survivor annuity pays $1,000 per month to Al for life, and $500 per month to Al's surviving wife after his death. The pre-July 1986 investment in the contract is $53,100 and the post-June 1986 investment in the contract is $7,000. Al makes the election described in Example 1.

For purposes of this example, assume the refund feature adjustment is zero. If an adjustment is required, IRS will figure the amount. See Requesting a Ruling on Taxation of Annuity at the end of this publication.

Pre - July
1986
Post - June
1986
A. Refund Feature Adjustment
1) Net cost $53,100 $7,000
2) Annual annuity--$12,000 ($53,100/$60,100 x $12,000) $10,602
 ($7,000/$60,100 x $12,000) $1,398
3) Guaranteed under the contract $53,100 $7,000
4) Number of years guaranteed, rounded, A(3) x A(2) 5 5
5) Applicable percentages 0% 0%
6) Refund feature adjustment, A(5) x smaller of A(1) or A(3) 0 0
B. Investment in the Contract
1) Net cost $53,100 $7,000
2) Refund feature adjustment 0 0
3) Investment in the contract adjusted for refund feature $53,100 $7,000
C. Expected Return
 1) Multiple for both annuitants from Tables II and VI 25.4 28.8
 2) Multiple for first annuitant from Tables I and V 16.9 22.5
 3) Multiple applicable to surviving annuitant, subtract C(2) from C(1) 8.5 6.3
 4) Annual annuity to surviving annuitant $6,000 $6,000
 5) Portion of expected return for surviving annuitant, C(4) x C(3) $51,000 $37,800
 6) Annual annuity to first annuitant $12,000 $12,000
 7) Plus: Portion of expected return for first annuitant, C(6) x C(2) $202,800 $270,000
 8) Expected return for both annuitants, C(5) + C(7) $253,800 $307,800
D. Tax-Free Part of Annuity
 1) Exclusion ratio as a decimal, B(3) x C(8) .209 .023
 2) Retiree's tax-free part of annuity, C(6) x D(1) $2,508 $276
 3) Survivor's tax-free part of annuity, C(4) x D(1) $1,254 $138

The tax-free part of Al's total annuity is $2,784 ($2,508 + $276). The taxable part of his annuity is $9,216 ($12,000 - $2,784). The exclusion over the years cannot exceed the net cost of the contract (figured without any reduction for a refund feature) if the annuity starting date is after 1986.

After Al's death, his widow will apply the same exclusion percentages (20.9% and 2.3%) to her annual annuity of $6,000 to figure the tax-free part of her annuity.

Annuity received after June 30, 1986. If you receive an annuity payment after June 30, 1986, (regardless of your annuity starting date), you may elect to treat the entire cost of the contract as post-June 1986 cost (even if you made no post-June 1986 contributions to the plan) and use Tables V through VIII. Once made, you cannot revoke the election, which will apply to all payments during the year and in any later year.

Make the election by attaching the following statement to your income tax return.

"I elect, under section 1.72-9 of the Income Tax Regulations, to treat my entire cost of the contract as a post-June 1986 cost of the plan."

The statement must also include your name, address, and social security number.

You should also indicate you are making this election if you are unable or do not wish to determine the parts of your contributions which were made before July 1, 1986 and after June 30, 1986.

Disqualifying form of payment or settlement. If your annuity starting date is after June 30, 1986, and the contract provides for a disqualifying form of payment or settlement, such as an option to receive a lump sum in full discharge of the obligation under the contract, the entire investment in the contract is treated as post-June 1986 investment in the contract. See regulations section 1.72-6(d)(3) for additional examples of disqualifying forms of payment or settlement. You can find the Income Tax Regulations in many libraries and at Internal Revenue Service Offices.

Worksheet I

Worksheet II

Actuarial Tables

Table II. Ordinary Joint Life and Latest Survivor Annuitee - Two Lives - Expected Returns Multiples

Table II (Continued)

Table II (Continued)

Table II (Continued)

Table III. Percent Value of Refund Feature

Table III (Continued)

Table IV. Temporary Life Annuities' - One Life - Expected Returns Multiples

Table IV (Continued)

Table IV (Continued)

Table IV (Continued)

Table IV (Continued)

Table V. Ordinary Life Annuities - Expected Return Multiples

Table VI. Ordinary Joint Life and Last Survivor Annuities - One Life - Expected Return Multiples

Table VI (Continued)

Table VI (Continued)

Table VI (Continued)

Table VI (Continued)

Table VI (Continued)

Table VI (Continued)

Table VI (Continued)

Table VI (Continued)

Table VI (Continued)

Table VI (Continued)

Table VI (Continued)

Table VI (Continued)

Table VI (Continued)

Table VI (Continued)

Table VI (Continued)

Table VI (Continued)

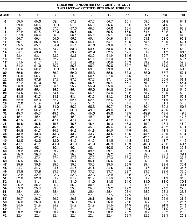
Table VIa. Annuities for Joint Life Only - Two Lives - Expected REturn Multiples

Table VIa (Continued)

Table VIa (Continued)

Table VIa (Continued)

Table VIa (Continued)

Table VIa (Continued)

Table VIa (Continued)

Table VIa (Continued)

Table VIa (Continued)

Table VIa (Continued)

Table VIa (Continued)

Table VIa (Continued)

Table VIa (Continued)

Table VIa (Continued)

Table VIa (Continued)

Table VIa (Continued)

Table VIa (Continued)

Table VII. Percent Value of Refund Feature - Duration of Guaranteed Amount

Table VII (Continued)

Table VII (Continued)

Table VII (Continued)

Table VII (Continued)

Table VII (Continued)

Table VII (Continued)

Table VII (Continued)

Table VII (Continued)

Table VIII. Temporary Life Annuities - One Life - Expected Return Multiples

Table VIII (Continued)

Table VIII (Continued)

Table VIII (Continued)

Table VIII (Continued)

Table VIII (Continued)

Table VIII (Continued)

Previous | First | Next

Publication Index | 2000 Tax Help Archives | Tax Help Archives | Home