HTML Page 901 of 33
This is archived information that pertains only to the 2001 Tax Year. If youare looking for information for the current tax year, go to the Tax Prep Help Area.
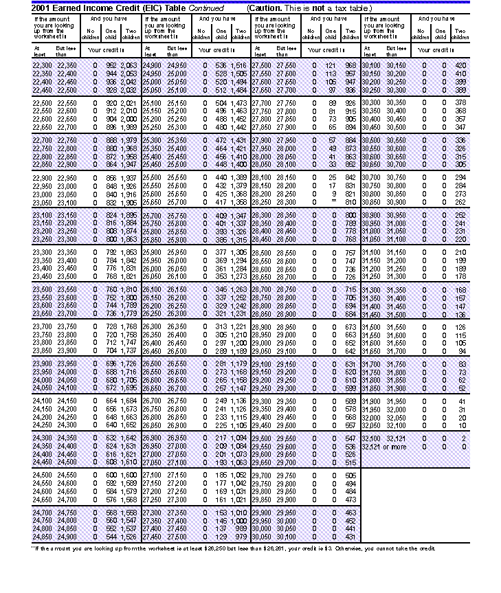
Earned Income Credit (EIC) Table
Previous | First | Next
Publication Index | 2001 Tax Help Archives | Tax Help Archives | Home