Federal Tax Guide for Employers in the U.S. Virgin Islands, Guam, American Samoa, and the Commonwealth of the Northern Mariana
Islands
(Rev. January 2002)
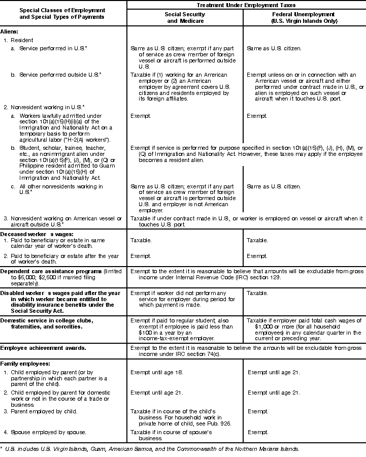
80chart1
80chart2
80chart3
80chart4
80chart5
80chart6
Publication Index | 2001 Tax Help Archives | Tax Help Archives | Home