Reduction for acquisition premium. If you bought the debt instrument at an acquisition premium, figure the OID includible in income by reducing the daily OID by the daily acquisition premium. To figure the daily acquisition premium, multiply the daily OID by the following fraction.
- The numerator is the acquisition premium.
- The denominator is the total OID remaining for the instrument after your purchase date.
Example 17. Assume the same facts as in Example 16, except that you bought the bond on November 1, 2002, for $87,000, after its original issue on May 1, 2002. The adjusted issue price on November 1, 2002, is $86,409.28 ($86,235.17 + $174.11). In this case, you paid an acquisition premium of $590.72 ($87,000 - $86,409.28). The daily OID for the accrual period November 1, 2002, through April 30, 2003, reduced for the acquisition premium, is figured as follows.
| 1) | Daily OID on date of purchase (2nd accrual period) |
$1.01967* |
| 2) |
Acquisition premium |
$ 590.72 |
|
| 3) |
Total OID remaining after purchase date ($13,764.83 - $174.11) |
13,590.72 |
|
| 4) | Line 2 ÷ line 3 |
.04346 |
| 5) | Line 1 × line 4 |
.04431 |
| 6) | Daily OID reduced for the acquisition premium. Line 1 - line 5 |
$0.97536 |
| * As shown in Example 16. |
The total OID to include in income for 2002 is $59.50 ($.97536 × 61 days).
Contingent Payment Debt Instruments
This discussion shows how to figure OID on a contingent payment debt instrument issued after August 12, 1996, that was issued for cash or publicly traded property. In general, a contingent payment debt instrument is a debt instrument that provides for one or more payments that are contingent as to timing or amount. If you hold a contingent payment debt instrument, you must report OID as it accrues each year.
Because the actual payments on a contingent payment debt instrument cannot be known in advance, issuers and holders cannot use the constant yield method (discussed earlier under Debt Instruments Issued After 1984) without making certain assumptions about the payments on the debt instrument. To figure OID accruals on contingent payment debt instruments, holders and issuers must use the noncontingent bond method.
Noncontingent bond method. Under this method, the issuer must construct a hypothetical noncontingent bond that has terms and conditions similar to the contingent payment debt instrument. The issuer constructs the payment schedule of the hypothetical noncontingent bond by projecting a fixed amount for each contingent payment. Holders and issuers accrue OID on this hypothetical noncontingent bond using the constant yield method that applies to fixed payment debt instruments. When a contingent payment differs from the projected fixed amount, the holders and issuers make adjustments to their OID accruals. If the actual contingent payment is larger than expected, both the issuer and the holder increase their OID accruals. If the actual contingent payment is smaller than expected, holders and issuers generally decrease their OID accruals.
Form 1099-OID. The amount shown in box 1 of the Form 1099-OID you receive for a contingent payment debt instrument may not be the correct amount to include in income. For example, the amount may not be correct if the contingent payment was different from the projected amount. If the amount in box 1 is not correct, you must figure the OID to report on your return under the following rules. For information on showing an OID adjustment on your tax return, see How To Report OID, earlier.
Figuring OID. To figure OID on a contingent payment debt instrument, you need to know the comparable yield and projected payment schedule of the debt instrument. The issuer must make these available to you.
Comparable yield. The comparable yield is the yield on the hypothetical noncontingent bond that the issuer determines and constructs at the time of issuance.
Projected payment schedule. The projected payment schedule is the payment schedule of the hypothetical noncontingent bond. The schedule includes all fixed payments due under the contingent payment debt instrument and a projected fixed amount for each contingent payment. The projected payment schedule is created by the issuer. It is used to determine the holder's interest accruals and adjustments.
Steps for figuring OID. Figure the OID on a contingent payment debt instrument in two steps.
- Figure the OID on the hypothetical noncontingent bond using the constant yield method (discussed earlier under Debt Instruments Issued After 1984 ) that applies to fixed payment debt instruments. Use the comparable yield as the yield to maturity. Use the projected payment schedule to determine the hypothetical bond's adjusted issue price at the beginning of the accrual period. Do not treat any amount payable as qualified stated interest.
- Adjust the OID in (1) to account for actual contingent payments. If the contingent payment is greater than the projected fixed amount, you have a positive adjustment. If the contingent payment is less than the projected fixed amount, you have a negative adjustment.
Net positive adjustment. A net positive adjustment exists when the total of any positive adjustments described in (2) above is more than the total of any negative adjustments. Treat a net positive adjustment as additional OID for the tax year.
Net negative adjustment. A net negative adjustment exists when the total of any negative adjustments described in (2) above is more than the total of any positive adjustments. Use a net negative adjustment to offset OID on the debt instrument for the tax year. If the net negative adjustment is more than the OID on the debt instrument for the tax year, you can claim the difference as an ordinary loss. However, the amount you can claim as an ordinary loss is limited to the OID on the debt instrument you included in income in prior tax years. You must carry forward any net negative adjustment that is more than the total OID for the tax year and prior tax years and treat it as a negative adjustment in the next tax year.
Basis adjustments. In general, increase your basis in a contingent payment debt instrument by the OID included in income. Your basis, however, is not affected by any negative or positive adjustments. Decrease your basis by any noncontingent payment received and the projected contingent payment scheduled to be received.
Treatment of gain or loss on sale or exchange. If you sell a contingent payment debt instrument at a gain, your gain is ordinary income (interest income), even if you hold the instrument as a capital asset. If you sell a contingent payment debt instrument at a loss, your loss is an ordinary loss to the extent of your prior OID accruals on the instrument. If the instrument is a capital asset, treat any loss that is more than your prior OID accruals as a capital loss.
See section 1.1275-4 of the regulations for exceptions to these rules.
Premium, acquisition premium, and market discount. The rules for accruing premium, acquisition premium, and market discount do not apply to a contingent payment debt instrument. See section 1.1275-4 of the regulations to determine how to account for these items.
Inflation-Indexed Debt Instruments
This discussion shows how you figure OID on certain inflation-indexed debt instruments issued after January 5, 1997. An inflation-indexed debt instrument is generally a debt instrument on which the payments are adjusted for inflation and deflation (such as Treasury inflation-indexed securities (TIIS)).
In general, if you hold an inflation-indexed debt instrument, you must report as OID any increase in the inflation-adjusted principal amount of the instrument that occurs while you held the instrument during the tax year. You must include the OID in gross income whether or not you hold the instrument as a capital asset. Your basis in the instrument is increased by the OID you include in income.
Inflation-adjusted principal amount. For any date, the inflation-adjusted principal amount of an inflation-indexed debt instrument is the instrument's outstanding principal amount multiplied by the index ratio for that date. (For TIIS, multiply the par value by the index ratio for that date.) For this purpose, determine the outstanding principal amount as if there were no inflation or deflation over the term of the instrument.
Index ratio. This is a fraction, the numerator of which is the value of the reference index for the date and the denominator of which is the value of the reference index for the instrument's issue date.
A qualified reference index measures inflation and deflation over the term of a debt instrument. Its value is reset each month to a current value of a single qualified inflation index (for example, the nonseasonally adjusted U.S. City Average All Items Consumer Price Index for All Urban Consumers (CPI-U), published by the Bureau of Labor Statistics of the Department of Labor). The value of the index for any date between reset dates is determined through straight-line interpolation.
The daily index ratios for Treasury inflation-indexed securities are available on the Internet at www. publicdebt.treas.gov.
Form 1099-OID. The amount shown in box 6 of the Form 1099-OID you receive for an inflation-indexed debt instrument may not be the correct amount to include in income. For example, the amount may not be correct if you bought the debt instrument (other than at original issue) or sold it during the year. If the amount shown in box 6 is not correct, you must figure the OID to report on your return under the following rules. For information about showing an OID adjustment on your tax return, see How To Report OID, earlier.
Figuring OID. Figure the OID on an inflation-indexed debt instrument using one of the following methods.
- The coupon bond method, described in the following discussion, applies if the instrument is issued at par, all stated interest payable on the instrument is qualified stated interest, and the coupons have not been stripped from the instrument. This method generally applies, for example, to Treasury inflation-indexed securities.
- The discount bond method applies to any inflation-indexed debt instrument that does not qualify for the coupon bond method, such as a stripped instrument. This method is described in section 1.1275-7(e) of the regulations.
Under the coupon bond method, figure the OID you must report for the tax year as follows.
Debt instrument held at the end of the tax year. If you held the debt instrument at the end of the tax year, figure your OID for the year using the following steps.
- Add the inflation-adjusted principal amount for the day after the last day of the tax year and any principal payments you received during the year. (For TIIS, multiply the par value by the index ratio for the day after the last day of the tax year, and add any principal payments received.)
- Subtract from (1) above the inflation-adjusted principal amount for the first day on which you held the instrument during the tax year. (For TIIS, subtract from (1) above the product of the par value times the index ratio for the first day held during the tax year.)
Interest is reported separately, as discussed later under Stated interest.
Debt instrument sold or retired during the tax year. If you sold the debt instrument during the tax year, or if it was retired, figure your OID for the year using the following steps.
- Add the inflation-adjusted principal amount for the last day on which you held the instrument during the tax year and any principal payments you received during the year. (For TIIS, multiply the par value by the index ratio for the sale or retirement date, and add any principal payments received.)
- Subtract from (1) above the inflation-adjusted principal amount for the first day on which you held the instrument during the tax year. (For TIIS, subtract from (1) above the product of the par value times the index ratio for the first day held during the tax year.)
Interest is reported separately, as discussed later under Stated interest.
Example 18. On February 6, 2002, you bought an old 10-year, 3.375% inflation-indexed debt instrument (maturing January 15, 2007) for $9,831. The stated principal (par value) amount is $10,000 and the inflation-adjusted principal amount for February 6, 2002, is $11,189.10 ($10,000 par value times 1.11891 index ratio). You held the debt instrument until September 1, 2002, when the inflation-adjusted principal amount was $11,354.80 ($10,000 par value times 1.13548 index ratio). Your OID for the 2002 tax year is $165.70 ($11,354.80 - $11,189.10). Your basis in the debt instrument on September 1, 2002, was $9,996.70 ($9,831 cost + $165.70 OID for 2002).
Stated interest. Under the coupon bond method, you report any stated interest on the debt instrument under your regular method of accounting. For example, if you use the cash method, you generally include in income for the tax year any interest payments received on the instrument during the year.
Deflation adjustments. If your calculation to figure OID on an inflation-indexed debt instrument produces a negative number, you do not have any OID. Instead, you have a deflation adjustment. A deflation adjustment generally is used to offset interest income from the debt instrument for the tax year. Show this offset as an adjustment on your Schedule B (Form 1040), in the same way you would show an OID adjustment. See How To Report OID, earlier.
You decrease your basis in the debt instrument by the deflation adjustment used to offset interest income.
Example 19. Assume the same facts as in Example 18, except that you bought the instrument for $9,831 on January 6, 2002, when the inflation-adjusted principal amount was $11,212.90, and sold the instrument on April 1, 2002, when the inflation-adjusted principal amount was $11,178.10. Because the OID calculation for 2002 ($11,178.10 - $11,212.90) produces a negative number (negative $34.80), you have a deflation adjustment. You use this deflation adjustment to offset the stated interest reported to you on the debt instrument.
Your basis in the debt instrument on April 1, 2002, is $9,796.20 ($9,831 cost - $34.80 deflation adjustment for 2002).
Premium on inflation-indexed debt instruments. In general, any premium on an inflation-indexed debt instrument is determined as of the date you acquire the instrument by assuming there will be no further inflation or deflation over the remaining term of the instrument. You allocate any premium over the remaining term of the instrument by making the same assumption. In general, the premium allocable to a tax year offsets the interest otherwise includible in income for the year. If the premium allocable to the year is more than that interest, the difference generally offsets the OID on the instrument for the year.
Figuring OID on Stripped Bonds and Coupons
If you strip one or more coupons from a bond and then sell or otherwise dispose of the bond or the stripped coupons, they are treated as separate debt instruments issued with OID. The holder of a stripped bond has the right to receive the principal (redemption price) payment. The holder of a stripped coupon has the right to receive an interest payment on the bond. The rule requiring the holder of a debt instrument issued with OID to include the OID in gross income as it accrues applies to stripped bonds and coupons acquired after July 1, 1982. See Bonds and Coupons Purchased After July 1, 1982, and Before 1985 or Bonds and Coupons Purchased After 1984, later, for information about figuring the OID to report.
Stripped bonds and coupons include the following instruments.
- Zero coupon instruments available through the Department of the Treasury's STRIPS program and government-sponsored enterprises such as the Resolution Funding Corporation and the Financing Corporation.
- Instruments backed by U.S. Treasury securities that represent ownership interests in those securities. Examples include obligations backed by U.S. Treasury bonds that are offered primarily by brokerage firms (variously called CATS, TIGRs, etc.).
Seller of stripped bond or coupon. If you strip coupons from a bond and sell the bond or coupons, include in income the interest that accrued while you held the bond before the date of sale to the extent the interest was not previously included in your income. For an obligation acquired after October 22, 1986, you must also include the market discount that accrued before the date of sale of the stripped bond (or coupon) to the extent the discount was not previously included in your income.
Add the interest and market discount you include in income to the basis of the bond and coupons. This adjusted basis is then allocated between the items you keep and the items you sell, based on the fair market value of the items. The difference between the sale price of the bond (or coupon) and the allocated basis of the bond (or coupon) is the gain or loss from the sale.
Treat any item you keep as an OID bond originally issued and purchased by you on the sale date of the other items. If you keep the bond, treat the excess of the redemption price of the bond over the basis of the bond as OID. If you keep the coupons, treat the excess of the amount payable on the coupons over the basis of the coupons as OID.
Purchaser of stripped bond or coupon. If you purchase a stripped bond or coupon, treat it as if it were originally issued on the date of purchase. If you purchase the stripped bond, treat as OID any excess of the stated redemption price at maturity over your purchase price. If you purchase the stripped coupon, treat as OID any excess of the amount payable on the due date of the coupon over your purchase price.
Form 1099-OID
The amount shown in box 6 of the Form 1099-OID you receive for a stripped bond or coupon may not be the proper amount to include in income. If not, you must figure the OID to report on your return under the rules that follow. For information about showing an OID adjustment on your tax return, see How To Report OID, earlier.
Tax-Exempt Bonds and Coupons
The OID on a stripped tax-exempt bond, or on a stripped coupon from such a bond, is generally not taxable. However, if you acquired the stripped bond or coupon after October 22, 1986, you must accrue OID on it to determine its basis when you dispose of it. How you figure accrued OID and whether any OID is taxable depend on the date you bought (or are treated as having bought) the stripped bond or coupon.
Acquired before June 11, 1987. None of the OID on bonds or coupons acquired before this date is taxable. The accrued OID is added to the basis of the bond or coupon. The accrued OID is the amount that produces a yield to maturity (YTM), based on your purchase date and purchase price, equal to the lower of the following rates.
- The coupon rate on the bond before the separation of coupons. (However, if you can establish the YTM of the bond (with all coupons attached) at the time of its original issue, you can use that YTM instead.)
- The YTM of the stripped bond or coupon.
Increase your basis in the stripped tax-exempt bond or coupon by the interest that accrued but was neither paid nor previously reflected in your basis before the date you sold the bond or coupon.
Acquired after June 10, 1987. Part of the OID on bonds or coupons acquired after this date may be taxable. Figure the taxable part in three steps.
Step 1 - Figure OID as if all taxable. First figure the OID following the rules in this section as if all the OID were taxable. (See Bonds and Coupons Purchased After 1984, later.) Use the yield to maturity (YTM) based on the date you obtained the stripped bond or coupon.
Step 2 - Determine nontaxable part. Find the issue price that would produce a YTM as of the purchase date equal to the lower of the following rates.
- The coupon rate on the bond from which the coupons were separated. (However, you can use the original YTM instead.)
- The YTM based on the purchase price of the stripped coupon or bond.
Subtract this issue price from the stated redemption price of the bond at maturity (or, in the case of a coupon, the amount payable on the due date of the coupon). The result is the part of the OID treated as OID on a stripped tax-exempt bond or coupon.
Step 3 - Determine taxable part. The taxable part of OID is the OID determined in Step 1 minus the nontaxable part determined in Step 2.
Exception. None of the OID on your stripped tax-exempt bond or coupon is taxable if you bought it from a person who held it for sale on June 10, 1987, in the ordinary course of that person's trade or business.
Basis adjustment. Increase the basis of your stripped tax-exempt bond or coupon by the taxable and nontaxable accrued OID. If you own a tax-exempt bond from which one or more coupons have been stripped, increase your basis in it by the sum of the interest accrued but not paid before you dispose of it (and not previously reflected in basis) and any accrued market discount to the extent not previously included in your income.
Example 20. Assume that a tax-exempt bond with a face amount of $100 due January 1, 2004, and a coupon rate of 10% (compounded semiannually) was issued for $100 on January 1, 2001. On January 1, 2002, the bond was stripped and you bought the right to receive the principal amount for $79.21. The stripped bond is treated as if it were originally issued on January 1, 2002, with OID of $20.79 ($100.00 - $79.21). This reflects a YTM at the time of the strip of 12% (compounded semiannually). The tax-exempt part of OID on the stripped bond is limited to $17.73. This is the difference between the redemption price ($100) and the issue price that would produce a YTM of 10% ($82.27). This part of the OID is treated as OID on a tax-exempt obligation.
The OID on the stripped bond that is more than the tax-exempt part is $3.06. This is the excess of the total OID ($20.79) over the tax-exempt part ($17.73). This part of the OID ($3.06) is treated as OID on an obligation that is not tax exempt.
The total OID allocable to the accrual period ending June 30, 2002, is $4.75 (6% × $79.21). Of this, $4.11 (5% × $82.27) is treated as OID on a tax-exempt obligation and $0.64 ($4.75 - $4.11) is treated as OID on an obligation that is not tax exempt. Your basis in the bond is increased to $83.96 ($79.21 issue price + accrued OID of $4.75).
Bonds and Coupons Purchased After July 1, 1982, and Before 1985
If you purchased a stripped bond or coupon after July 1, 1982, and before 1985, and you held that debt instrument as a capital asset during any part of 2002, you must figure the OID to be included in income using a constant yield method. Under this method, OID is allocated over the time you hold the debt instrument by adjusting the acquisition price for each accrual period. The OID for the accrual period is figured by multiplying the adjusted acquisition price at the beginning of the period by the yield to maturity.
Adjusted acquisition price. The adjusted acquisition price of a stripped bond or coupon at the beginning of the first accrual period is its purchase (or acquisition) price. The adjusted acquisition price at the beginning of any subsequent accrual period is the sum of the acquisition price and all of the OID includible in income before that accrual period.
Accrual period. An accrual period for any stripped bond or coupon acquired before 1985 is each 1-year period beginning on the date of the purchase of the obligation and each anniversary thereafter, or the shorter period to maturity for the last accrual period.
Yield to maturity (YTM). In general, the YTM of a stripped bond or coupon is the discount rate that, when used in figuring the present value of all principal and interest payments, produces an amount equal to the acquisition price of the bond or coupon.
Figuring YTM. If you purchased a stripped bond or coupon after July 1, 1982, but before 1985, and the period from your purchase date to the day the instrument matures can be divided exactly into full 1-year periods without including a shorter period, then the YTM can be figured by applying the following formula.

| srp |
= |
stated redemption price at maturity |
| ap |
= |
acquisition price |
| m |
= |
number of full accrual periods from purchase to maturity |
If the instrument is a stripped coupon, the stated redemption price is the amount payable on the due date of the coupon. See Example 21.
If the period between your purchase date and the maturity date (or due date) of the instrument does not divide into an exact number of full 1-year periods, so that a period shorter than 1 year must be included, consult your broker or your tax advisor for information about figuring the YTM.
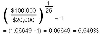
Example 21. On November 15, 1984, you bought a coupon stripped from a U.S. Treasury bond through the Department of the Treasury's STRIPS program for $20,000. An amount of $100,000 is payable on the coupon's due date, November 14, 2009. There are exactly 25 1-year periods between the purchase date, November 15, 1984, and the coupon's due date, November 14, 2009. Your YTM on this stripped coupon is figured as follows.

Use 6.649% YTM to figure the OID for each accrual period or partial accrual period for which you must report OID.
Daily OID. The OID for any accrual period is allocated equally to each day in the accrual period. You figure the amount to include in income by adding the daily OID amounts for each day you hold the debt instrument during the year. If your tax year includes parts of more than one accrual period (which will be the case unless the accrual period coincides with your tax year), you must include the proper daily OID amounts for each of the two accrual periods.
The daily OID for the initial accrual period is figured by applying the following formula.
| ap |
= |
acquisition price |
| ytm |
= |
yield to maturity |
| p |
= |
number of days in accrual period |
The daily OID for subsequent accrual periods is figured in the same way except the adjusted acquisition price at the beginning of each period is used in the formula instead of the acquisition price.
The rules for figuring OID on these instruments are similar to those illustrated in Example 9 and Example 10, earlier, under Debt Instruments Issued After July 1, 1982, and Before 1985.
Bonds and Coupons Purchased After 1984
If you purchased a stripped bond or coupon (other than a stripped inflation-indexed instrument) after 1984, and you held that debt instrument during any part of 2002, you must figure the OID to be included in income using a constant yield method. Under this method, OID is allocated over the time you hold the debt instrument by adjusting the acquisition price for each accrual period. The OID for the accrual period is figured by multiplying the adjusted acquisition price at the beginning of the period by a fraction. The numerator of the fraction is the instrument's yield to maturity and the denominator is the number of accrual periods per year.
If the stripped bond or coupon is an inflation-indexed instrument, you must figure the OID to be included in income using the discount bond method described in section 1.1275-7(e) of the regulations.
Adjusted acquisition price. The adjusted acquisition price of a stripped bond or coupon at the beginning of the first accrual period is its purchase (or acquisition) price. The adjusted acquisition price at the beginning of any subsequent accrual period is the sum of the acquisition price and all of the OID includible in income before that accrual period.
Accrual period. For a stripped bond or coupon acquired after 1984 and before April 4, 1994, an accrual period is each 6-month period that ends on the day that corresponds to the stated maturity date of the stripped bond (or payment date of a stripped coupon) or the date 6 months before that date. For example, a stripped bond that has a maturity date (or a stripped coupon that has a payment date) of March 31 has accrual periods that end on September 30 and March 31 of each calendar year. Any short period is included as the first accrual period.
For a stripped bond or coupon acquired after April 3, 1994, accrual periods may be of any length and may vary in length over the term of the instrument, as long as each accrual period is no longer than 1 year and all payments are made on the first or last day of an accrual period.
Yield to maturity (YTM). In general, the YTM of a stripped bond or coupon is the discount rate that, when used in figuring the present value of all principal and interest payments, produces an amount equal to the acquisition price.
Figuring YTM. How you figure the YTM for a stripped bond or coupon purchased after 1984 depends on whether you have equal accrual periods or a short initial accrual period.
1) Equal accrual periods. If the period from the date you purchased a stripped bond or coupon to the maturity date can be divided evenly into full accrual periods without including a shorter period, you can figure the YTM by using the following formula.

| n |
= |
number of accrual periods in 1 year |
| srp |
= |
stated redemption price at maturity |
| ap |
= |
acquisition price |
| m |
= |
number of full accrual periods from purchase to maturity |
If the instrument is a stripped coupon, the stated redemption price is the amount payable on the due date of the coupon.
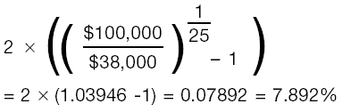
Example 22. On May 15, 1991, you bought a coupon stripped from a U.S. Treasury bond through the Department of the Treasury's STRIPS program for $38,000. An amount of $100,000 is payable on the coupon's due date, November 14, 2003. There are exactly 25 6-month periods between the purchase date, May 15, 1991, and the coupon's due date, November 14, 2003. The YTM on this stripped coupon is figured as follows.

Use 7.892% YTM to figure the OID for each accrual period or partial accrual period for which you must report OID.
2) Short initial accrual period. If the period from the date you purchased a stripped bond or coupon to the date of its maturity cannot be divided evenly into full accrual periods, so that a shorter period must be included, you can figure the YTM by using the following formula (the exact method).

| n |
= |
number of accrual periods in 1 year |
| srp |
= |
stated redemption price at maturity |
| ap |
= |
acquisition price |
| r |
= |
number of days from purchase to end of short accrual period |
| s |
= |
number of days in accrual period ending on last day of short accrual period |
| m |
= |
number of full accrual periods from purchase to maturity |
Example 23. On May 31, 2002, you bought a coupon stripped from a U.S. Treasury bond through the Department of the Treasury's STRIPS program for $60,000. $100,000 is payable on the coupon's due date, August 12, 2008. You decide to figure OID using 6-month accrual periods. There are 12 full 6-month accrual periods and a 74-day short initial accrual period from the purchase date to the coupon's due date. The YTM on this stripped coupon is figured as follows.

Use 8.406% YTM to figure the OID for each accrual period or partial accrual period for which you must report OID.
Previous | First | Next
Publication Index | 2002 Tax Help Archives | Tax Help Archives | Home