Distributions and Rollovers
Important Changes for 2002
Exception to rollover rules.
Effective for distributions after 2001, the IRS may waive the 60-day rollover period if the failure to waive such requirement would be against
equity or good conscience, including cases of casualty, disaster, or other events beyond the reasonable control of the individual.
Direct trustee-to-trustee transfers.
If you make a direct trustee-to-trustee transfer after 2001 from your governmental 403(b) account to a defined benefit governmental plan, it may
not be included in your gross income.
Rollover options
Effective for distributions after 2001, you can roll over, tax free, money and other property that would otherwise be taxable from an eligible
retirement plan to a 403(b) plan. For more information, see Publication 575.
Additionally, you can roll over, tax free, money and other property that would otherwise be taxable from a 403(b) plan to an eligible retirement
plan.
Rollovers by the surviving spouse.
If you are the surviving spouse of a 403(b) plan participant, you can roll over distributions made after 2001 from your spouse's 403(b) plan to an
eligible retirement plan.
Distributions
Generally, a distribution cannot be made from a 403(b) account until the employee:
- Reaches age 59½,
- Has a severance from employment,
- Dies,
- Becomes disabled, or
- In the case of salary reduction contributions, encounters financial hardship.
In most cases, the payments you receive or that are made available to you under your 403(b) account are taxable in full as ordinary income. In
general, the same tax rules apply to distributions from 403(b) plans that apply to distributions from other retirement plans. These rules are
explained in Publication 575. Publication 575 also discusses the additional tax on early distributions from retirement plans.
Minimum Required Distributions
You must receive all, or at least a certain minimum, of your interest accruing after 1986 in the 403(b) plan by April 1 of the calendar year
following the later of the calendar year in which you become age 70½ or the calendar year in which you retire.
Check with your employer, plan administrator, or provider to find out whether this rule also applies to pre-1987 accruals. If not, a minimum amount
of these accruals must begin to be distributed by the later of the end of the calendar year in which you reach age 75 or April 1 of the calendar year
following retirement, whichever is later. For each year thereafter, the minimum distribution must be made by the last day of the year. If you do not
receive the required minimum distribution, you are subject to a nondeductible 50% excise tax on the difference between the required minimum
distribution and the amount actually distributed.
For more information on minimum distribution requirements and the additional tax that applies if too little is distributed each year, see
Publication 575.
No Special 10-Year Tax Option
A distribution from a 403(b) plan does not qualify as a lump-sum distribution. This means you cannot use the special 10-year tax option to
calculate the taxable portion of a 403(b) distribution. For more information, see Publication 575.
Transfer of Interest in 403(b) Contract
If you transfer all or part of your interest from a 403(b) account to another 403(b) account, the transfer is tax free. However, this treatment
applies only if the transferred interest is subject to the same or stricter distribution restrictions. This rule applies regardless of whether you are
a current employee, a former employee, or a beneficiary of a former employee.
Transfers that do not satisfy this rule are plan distributions and are generally taxable as ordinary income.
Tax-free transfers for certain cash distributions.
A tax-free transfer may also apply to a cash distribution of your 403(b) account from an insurance company that is subject to a rehabilitation,
conservatorship, insolvency, or similar state proceeding. To receive tax-free treatment, you must do all of the following.
- Reinvest the cash in an annuity contract or account issued by another insurance company.
- Withdraw all the cash to which you are entitled in full settlement of your contract rights or the maximum permitted by the
state.
- Reinvest the cash distribution into another annuity contract or account issued by another insurance company or single custodial account not
later than 60 days after you receive the cash distribution.
- Assign all future distribution rights to the new contract or account for investment in that contract or account if you received an amount
that is less than what you are entitled to because of state restrictions.
- Reinvest in an annuity contract or account subject to the same or stricter distribution restrictions as the original contract.
In addition to the preceding requirements, you must provide the new insurer with a written statement containing all of the following information:
- The gross amount of cash distributed under the old contract.
- The amount of cash reinvested in the new contract.
- Your investment in the old contract on the date you receive your first cash distribution.
Also, you must attach the following items to your timely filed income tax return in the year you receive the first distribution of cash.
- A copy of the statement you gave the new insurer.
- A statement that includes:
- The words ELECTION UNDER REV. PROC. 92-44,
- The name of the company that issued the new contract, and
- The new policy number.
Direct trustee-to-trustee transfer.
If you make a direct trustee-to-trustee transfer after December 31, 2001, from your governmental 403(b) account to a defined benefit governmental
plan, it may not be includible in gross income.
The transfer amount is not includible in gross income if it is made to:
- Purchase permissive service credits, or
- Repay contributions and earnings that were previously refunded under a forfeiture of service credit under the plan, or under another plan
maintained by a state or local government employer within the same state.
Permissive service credit.
Permissive service credit means credit for a period of service recognized by your defined benefit governmental plan, only if you voluntarily
contribute to your 403(b) plan an amount that does not exceed the amount necessary to fund the benefit attributable to the period of service and that
is in addition to the regular employee contribution, if any, under the plan.
Tax-Free Rollovers
You can generally roll over tax free all or any part of a distribution from a 403(b) plan to a traditional IRA or an eligible retirement plan. The
most you can roll over is the amount that, except for the rollover, would be taxable. The rollover must be completed by the 60th day following the day
on which you receive the distribution. For information on eligible retirement plans, see Publication 575.
Hardship exception to rollover rules.
For years beginning after 2001, the IRS may waive the 60-day rollover period if the failure to waive such requirement would be against equity or
good conscience, including cases of casualty, disaster, or other events beyond the reasonable control of the individual.
Rollovers to and from 403(b) plans.
Effective for distributions after 2001, you can roll over, tax free, all or any part of a distribution from an eligible retirement plan to a 403(b)
plan. Additionally, you can roll over, tax free, all or any part of a distribution from a 403(b) plan to an eligible retirement plan. For information
on eligible retirement plans, see Publication 575.
If after you roll over money and other property from a 403(b) plan to an eligible retirement plan, you take a distribution from that plan, you will
not be eligible to receive the capital gain treatment or the special averaging treatment for the portion of the rollover attributable to the
distribution from the 403(b) plan.
For more information on rollovers and eligible retirement plans, see Publication 575.
Eligible retirement plans.
The following are considered eligible retirement plans.
- Individual retirement arrangements.
- Qualified plans.
- 403(b) plans.
- 457 plans.
Nonqualifying distributions.
You cannot roll over tax free:
- Minimum distributions (generally required to begin at age 70½),
- Substantially equal payments over your life or life expectancy,
- Substantially equal payments over the joint lives or life expectancies of your beneficiary and you,
- Substantially equal payments for a period of 10 years or more, or
- Hardship distributions.
Direct rollovers for 403(b) plan distributions.
You have the option of having your 403(b) plan make the rollover directly to the IRA or new plan. Before you receive a distribution, your plan will
give you information on this. It is generally to your advantage to choose this option because your plan will not withhold tax on the distribution if
you choose it.
Withholding.
If you receive a distribution that qualifies to be rolled over, the payer must withhold 20% of it for taxes (even if you plan to roll
the distribution over). You cannot choose to have no withholding unless you elect the direct rollover option.
Distribution received by you.
If you receive a distribution that qualifies to be rolled over, you can roll over all or any part of the distribution. Generally, you will receive
only 80% of the distribution because 20% must be withheld. If you roll over only the 80% you receive, you must pay tax on the 20% you did not roll
over. You can replace the 20% that was withheld with other money within the 60-day period to make a 100% rollover.
Voluntary deductible contributions.
For tax years 1982 through 1986, employees could make deductible contributions to a 403(b) plan under the individual retirement arrangement (IRA)
rules instead of deducting contributions to a traditional IRA.
If you made voluntary deductible contributions to a 403(b) plan under these traditional IRA rules, the distribution of all or part of the
accumulated deductible contributions may be rolled over assuming it otherwise qualifies as a distribution you can roll over. Accumulated deductible
contributions are the deductible contributions plus income and gain allocable to the contributions, minus expenses and losses allocable to the
contributions, and minus distributions from the contributions, income, or gain.
Excess employer contributions.
The portion of a distribution from a 403(b) plan transferred to a traditional IRA that was previously included in income as excess employer
contributions (discussed earlier) is not an eligible rollover distribution.
Its transfer does not affect the rollover treatment of the eligible portion of the transferred amounts. However, the ineligible portion is subject
to the traditional IRA contribution limits and may create an excess IRA contribution subject to a 6% excise tax (see chapter 1 of Publication 590).
Qualified Domestic Relations Order.
You may be able to roll over tax free all or any part of an eligible rollover distribution from a 403(b) plan that you receive under a qualified
domestic relations order (QDRO). If you receive the interest in the 403(b) plan as an employee's spouse or former spouse under a QDRO, all of the
rollover rules apply to you as if you were the employee. You can roll over your interest in the plan to a traditional IRA or another 403(b) plan. For
more information on the treatment of an interest received under a QDRO, see Publication 575.
Spouses of deceased employees.
If you are the spouse of a deceased employee, you can roll over the qualifying distribution attributable to the employee. You can make the rollover
to any eligible retirement plan. You cannot roll it over to a Roth IRA.
If after you roll over money and other property from a 403(b) plan to an eligible retirement plan, you take a distribution from that plan, you will
not be eligible to receive the capital gain treatment or the special averaging treatment for the distribution.
Second rollover.
If you roll over a qualifying distribution to a traditional IRA, you can, if certain conditions are satisfied, later roll the distribution into
another 403(b) plan. For more information, see IRA as a holding account (conduit IRA) for rollovers to other eligible plans, in Publication
590.
Frozen deposits.
The 60-day period usually allowed for completing a rollover is extended for any time that the amount distributed is a frozen deposit in a financial
institution. The 60-day period cannot end earlier than 10 days after the deposit ceases to be a frozen deposit.
A frozen deposit is any deposit that on any day during the 60-day period cannot be withdrawn because:
- The financial institution is bankrupt or insolvent, or
- The state where the institution is located has placed limits on withdrawals because one or more banks in the state are (or are about to be)
bankrupt or insolvent.
Gift Tax
If, by choosing or not choosing an election, or option, you provide an annuity for your beneficiary at or after your death, you may have made a
taxable gift equal to the value of the annuity.
Joint and survivor annuity.
If the gift is an interest in a joint and survivor annuity where only you and your spouse have the right to receive payments, the gift will
generally be treated as qualifying for the unlimited marital deduction.
More information.
For information on the gift tax, see Publication 950, Introduction to Estate and Gift Taxes.
Worksheets
Chapter 3 introduced you to the term maximum amount contributable (MAC). Generally, your MAC for 2001 is the least of your:
- Maximum exclusion allowance (chapter 3),
- Limit on annual additions (chapter 4 for the general rule or chapter 6 for alternative limits), or
- Limit on elective deferrals (chapter 5).
Worksheets 1 through 4 in this chapter pull all three of these components together to help you figure your MAC for 2001.
For 2002, MAC is generally the lesser of your limit on annual additions or your limit on elective deferrals. Chapter 9 has information on figuring
your MAC for 2002. Worksheet 7 in this chapter can help you figure your MAC for 2002.
Figuring MAC
After completing the worksheets, you should maintain them with your 403(b) records for that year. Do not attach them to your tax return. At the end
of the year or the beginning of the next year, you should compare your estimated compensation figures with your actual figures.
If your compensation is the same as, or more than, the projected amounts and the calculations are correct, then you should simply file these
worksheets with your other tax records for the year.
If your compensation was lower than your estimated figures, you will need to check the amount contributed during the year to determine if
contributions are more than your MAC.
When Should I Figure MAC?
At the beginning of each year, you should figure your MAC using a conservative estimate of your compensation. Should your income change during the
year, you should refigure your MAC based on a revised conservative estimate. By doing this, you will be able to determine if contributions to your
403(b) account should be increased or decreased for the year.
Figuring MAC for the Current Year
If you are figuring your MAC for the current year, you should use a conservative estimate of your compensation.
If you can figure your MAC for 2001 using one of the three alternative limits, you should figure your MAC using both the selected alternative limit
and the general limit.
Before selecting an alternative limit, read Chapter 6, Alternative Limits on Annual Additions.
Checking the Previous Year's Contributions
At the beginning of the following year, you should refigure your MAC based on your actual earned income.
At the end of the current year or the beginning of the next year, you should check your contributions to be sure you did not exceed your MAC. This
means refiguring your limit based on your actual compensation figures for the year. This will allow you to determine if the amount contributed is more
than the allowable amounts, and possibly avoid additional taxes.
Available Worksheets
The following worksheets have been provided to help you figure components of your MAC.
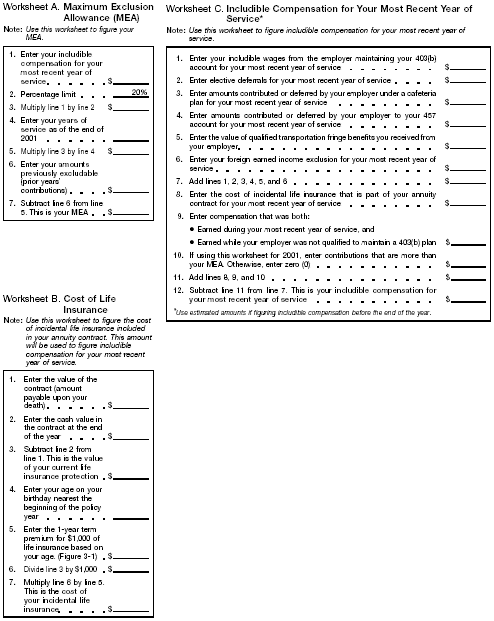
- Worksheet A. Maximum Exclusion Allowance (MEA).
- Worksheet B. Cost of Life Insurance.
- Worksheet C. Includible Compensation for Your Most Recent Year of Service.
- Worksheet D. Limit on Annual Additions for 2001.
- Worksheet E. Compensation Calculation - Limit on Annual Additions.
- Worksheet F. Limit on Elective Deferrals.
- Worksheet G. Limit on Annual Additions for 2002.
- Worksheet H. Catch-Up Contributions.
Worksheets 1 through 5, and 7 will help you figure MAC. Worksheet 6 will help your determine if you have excess contributions.
- Worksheet 1. Maximum Amount Contributable (No Alternatives) for 2001.
- Worksheet 2. Year of Separation From Service Limit.
- Worksheet 3. Overall Limit.
- Worksheet 4. Any Year Limit.
- Worksheet 5. Limit on Nonelective Contributions.
- Worksheet 6. Calculation of Excess 403(b) Contributions for 2001.
- Worksheet 7. Maximum Amount Contributable (MAC) for 2002.
.

Worksheets A thru C

Worksheets D thru E

Worksheet 1 - Maximum Amount contributable (no alternatives) for 2001

Worksheet 2 - Year of Separation from Service Limit

Worksheet 3 - Overall Limit

Worksheet 4 - Any Year Limit

Worksheet 5 - Nonelective Contributions

Worksheet 6 Calculation of Excess 403(b) Conributions

Worksheet 7. Maximum Amount Contributable (MAC) for 2002
How To Get Tax Help
You can get help with unresolved tax issues, order free publications and forms, ask tax questions, and get more information from the IRS in several
ways. By selecting the method that is best for you, you will have quick and easy access to tax help.
Contacting your Taxpayer Advocate.
If you have attempted to deal with an IRS problem unsuccessfully, you should contact your Taxpayer Advocate.
The Taxpayer Advocate represents your interests and concerns within the IRS by protecting your rights and resolving problems that have not been
fixed through normal channels. While Taxpayer Advocates cannot change the tax law or make a technical tax decision, they can clear up problems that
resulted from previous contacts and ensure that your case is given a complete and impartial review.
To contact your Taxpayer Advocate:
- Call the Taxpayer Advocate at
1-877-777-4778.
- Call the IRS at 1-800-829-1040.
- Call, write, or fax the Taxpayer Advocate office in your area.
- Call 1-800-829-4059 if you are a
TTY/TDD user.
For more information, see Publication 1546, The Taxpayer Advocate Service of the IRS.
Free tax services.
To find out what services are available, get Publication 910, Guide to Free Tax Services. It contains a list of free tax publications
and an index of tax topics. It also describes other free tax information services, including tax education and assistance programs and a list of
TeleTax topics.
Personal computer. With your personal computer and modem, you can access the IRS on the Internet at www.irs.gov. While
visiting our web site, you can:
- Find answers to questions you may have.
- Download forms and publications or search for forms and publications by topic or keyword.
- View forms that may be filled in electronically, print the completed form, and then save the form for recordkeeping.
- View Internal Revenue Bulletins published in the last few years.
- Search regulations and the Internal Revenue Code.
- Receive our electronic newsletters on hot tax issues and news.
- Get information on starting and operating a small business.
You can also reach us with your computer using File Transfer Protocol at ftp.irs.gov.
TaxFax Service. Using the phone attached to your fax machine, you can receive forms and instructions by calling
703-368-9694. Follow the directions from the prompts. When you order forms, enter the catalog number for the form you need. The
items you request will be faxed to you.
For help with transmission problems, call the FedWorld Help Desk at 703-487-4608.
Phone. Many services are available by phone.
- Ordering forms, instructions, and publications. Call 1-800-829-3676 to order current and prior year
forms, instructions, and publications.
- Asking tax questions. Call the IRS with your tax questions at 1-800-829-1040.
- Employee plan assistance. If you own a business and have questions about starting a pension plan, an existing plan, or filing
Form 5500, call our Tax Exempt/Government Entities Customer Service at1-877-829-5500. Assistance is available
Monday through Friday from 8:00 a.m. to 9:30 p.m. EST. If you have questions about an individual retirement arrangement (IRA), call
1-800-829-1040.
- TTY/TDD equipment. If you have access to TTY/TDD equipment, call 1-800-829- 4059 to ask tax
questions or to order forms and publications.
- TeleTax topics. Call 1-800-829-4477 to listen to pre-recorded messages covering various tax
topics.
Evaluating the quality of our telephone services. To ensure that IRS representatives give accurate, courteous, and professional answers,
we evaluate the quality of our telephone services in several ways.
- A second IRS representative sometimes monitors live telephone calls. That person only evaluates the IRS assistor and does not keep a record
of any taxpayer's name or tax identification number.
- We sometimes record telephone calls to evaluate IRS assistors objectively. We hold these recordings no longer than one week and use them
only to measure the quality of assistance.
- We value our customers' opinions. Throughout this year, we will be surveying our customers for their opinions on our service.
Walk-in. You can walk in to many post offices, libraries, and IRS offices to pick up certain forms, instructions, and publications. Some
IRS offices, libraries, grocery stores, copy centers, city and county governments, credit unions, and office supply stores have an extensive
collection of products available to print from a CD-ROM or photocopy from reproducible proofs. Also, some IRS offices and libraries have the Internal
Revenue Code, regulations, Internal Revenue Bulletins, and Cumulative Bulletins available for research purposes.
Mail. You can send your order for forms, instructions, and publications to the Distribution Center nearest to you and receive a response
within 10 workdays after your request is received. Find the address that applies to your part of the country.
- Western part of U.S.:
Western Area Distribution Center
Rancho Cordova, CA 95743-0001
- Central part of U.S.:
Central Area Distribution Center
P.O. Box 8903
Bloomington, IL 61702-8903
- Eastern part of U.S. and foreign addresses:
Eastern Area Distribution Center
P.O. Box 85074
Richmond, VA 23261-5074
CD-ROM. You can order IRS Publication 1796, Federal Tax Products on CD-ROM, and obtain:
- Current tax forms, instructions, and publications.
- Prior-year tax forms and instructions.
- Popular tax forms that may be filled in electronically, printed out for submission, and saved for recordkeeping.
- Internal Revenue Bulletins.
The CD-ROM can be purchased from National Technical Information Service (NTIS) by calling 1-877-233-6767 or on the
Internet at www.irs.gov. The first release is available in mid-December and the final release is available in late January.
IRS Publication 3207, Small Business Resource Guide, is an interactive CD-ROM that contains information important to small businesses.
It is available in mid-February. You can get one free copy by calling 1-800-829-3676 or visiting the IRS web site at
www.irs.gov.
Previous | First | Next
Publication Index | 2002 Tax Help Archives | Tax Help Archives | Home