Step 2. Complete Form W-5 and Give It to Your Employer
If you answered Yes to all the questions in Step 1, and you wish to get part of your EIC now, you must give your employer a Form W-5 for 2003.
After you have read the instructions and completed Form W-5, give the lower part of the form to your employer. Keep the top part for your records. A part of a blank Form W-5 is shown here.

top of form W-5
You may get only part of your EIC during the year in advance payments. You will get the rest of the EIC you are entitled to when you file your tax return in 2004 and claim the EIC.
Frequently Asked Questions About Form W-5
1. How do I get Form W-5? Ask your employer for the form. Or, see How To Get Tax Help on page 48.
2. What should I do if I have more than one employer? Give a Form W-5 to only one employer.
3. Can I give my employer a Form W-5 if my spouse has given her employer a Form W-5? Yes.
4. How often do I have to file Form W-5? The 2003 Form W-5 you give to your employer is valid until December 31, 2003. If you expect to be eligible for EIC in 2004 and you want to receive advance payments, you must give your employer a new Form W-5 in 2004. Do this each year you expect to be eligible for the EIC.
5. What should I do if my situation changes after I give Form W-5 to my employer? Give your employer a new Form W-5 if any situation shown in the following table applies to you for 2003.
Table 2. Changes to Advance EIC Status
| IF... |
THEN you must give your employer a new Form W-5. To indicate your change, check... |
| You no longer have a qualifying child | No on line 1. |
| You are no longer eligible for the EIC | No on line 1. |
| You no longer want advance payments | No on line 1. |
| Your spouse files Form W-5 with his or her employer | Yes on line 3. |
Step 3. How To Report Advance Payments of EIC
If you received advance payments of EIC in 2002, see Important Reminders on page 3 for information on reporting these payments.
If you receive advance payments of EIC in 2003, you must file a 2003 tax return (even if you would not otherwise have to file) to report the payments and claim any additional EIC. Box 9 of your Form W-2 will show the amount you received. See the instructions for Form 1040 or Form 1040A for the line number on which you report advance payments of EIC.
If you receive advance payments of EIC in 2003, and you later find out that you are not eligible for some or all of them, you still must report them on your tax return.
You cannot use Form 1040EZ to report your advance payments. You must file Form 1040 or Form 1040A.
Detailed Examples

The next few pages contain four detailed examples (with a filled-in Schedule EIC and EIC Worksheets) that may be helpful if you have questions about claiming the EIC.
Example 1. Cynthia and Jerry Grey
Cynthia and Jerry Grey have two children, Kirk, age 8, and Susanne, age 6. The children lived with Cynthia and Jerry for all of 2002. Cynthia earned wages of $15,000 and Jerry had wages of $10,000. The Greys received $50 in interest on their savings account. They had no other income in 2002.
Cynthia and Jerry have the 2002 Form 1040A and instructions. They want to see if they qualify for the EIC, so they follow the steps in the instructions for line 41.
Step 1. The amount Cynthia and Jerry entered on Form 1040A, line 21, was $25,050. They both have valid social security numbers (SSNs). They will file a joint return. Neither Cynthia nor Jerry is a nonresident alien. Therefore, the answers they give to the questions in Step 1 allow them to proceed to Step 2.
Step 2. The only investment income the Greys have is their $50 interest income. That amount is not more than $2,550, so they go to Step 3.
Step 3. In Step 3 of the instructions for line 41, the Greys find out that they do not have to use Publication 596. However, they decide to get and use the publication because they heard that it has information they want about advance EIC. When they read Publication 596, they find that they have already met Rules 1 - 5 and can start with Rule 6.
Rule 6. The Greys meet this rule because they have earned income (Cynthia's and Jerry's wages). They go to Rule 7 in chapter 2 because they believe they have qualifying children.
Rule 7. Cynthia and Jerry meet this rule because both Kirk and Susanne meet the relationship, residency, and age tests. In addition, both children have valid SSNs.
Rule 8. The Greys meet this rule because Kirk and Susanne are not qualifying children of anyone else.
Rule 9. Cynthia and Jerry meet this rule because they themselves are not qualifying children of anyone else. They meet all the rules so far, so they go to chapter 4.
Rule 14. Cynthia and Jerry's AGI is $25,050 ($25,000 + $50), the amount on line 21 of their Form 1040A. They meet Rule 14.
Rule 15. Cynthia and Jerry complete Worksheet 2 (not shown) and figure their total earned income to be $25,000, the amount of their combined wages. They meet this rule.
Completing EIC Worksheet A. Cynthia and Jerry want to figure their EIC themselves, so they complete EIC Worksheet A (shown here). They complete EIC Worksheet A, rather than EIC Worksheet B, because they are not self-employed, church employees, or filing Schedule C or C-EZ as statutory employees.

Part 5
- Cynthia and Jerry enter their total earned income ($25,000) on line 1.
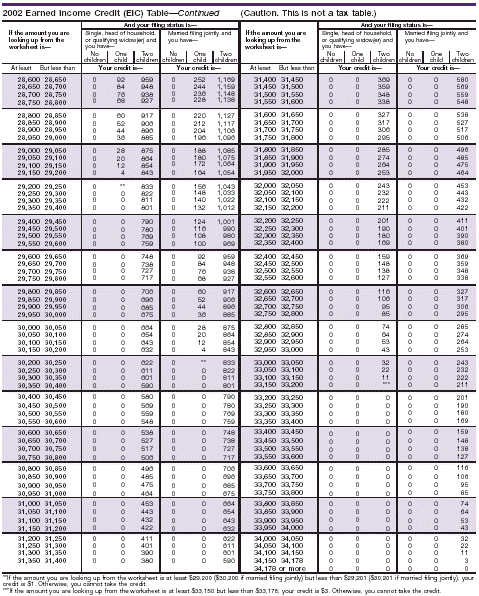
- They look up $25,000 in the EIC Table in the Appendix. To find their credit, they look in the column for married filing jointly with two children. They enter the amount of $1,928 on line 2.
- They enter on line 3 their AGI ($25,050) and see that it is different from the amount on line 1.
- They look up $25,050 in the EIC Table and enter the amount of $1,917 on line 5.
- They enter $1,917 on line 6. This is the smaller of the line 2 amount ($1,928) and the line 5 amount ($1,917).
- The Greys enter $1,917 on line 41 of their Form 1040A. They will now complete Schedule EIC (shown here) and attach it to their return. They will keep EIC Worksheet A for their records.

Earned Income Credit
Example 2. David and Judy Brown
David and Judy Brown have three children - Karl, age 4, and twins, Karin and Susan, age 2. David worked and earned $16,000 in taxable wages. He received $1,500 in unemployment compensation. David also began a consulting business. After expenses, David had a loss of $1,000. Judy made crafts and sold them at a flea market. She had a profit of $706. In addition, David and Judy received $50 in interest from a savings account.
Judy completes Schedule C-EZ and reports the $706 profit. She also completes Schedule SE and figures self-employment tax of $100. She puts this figure on line 56 (Form 1040) and deducts $50, one-half of her self-employment tax, on line 29 (Form 1040).
David completes Schedule C and reports his $1,000 loss. David and Judy combine their Schedules C and C-EZ to report a loss of $294 ($706 - $1,000) on line 12 of their Form 1040. David will not complete Schedule SE because he does not have any net earnings from self-employment.
David and Judy read Publication 596 and find that they meet all the rules to claim the EIC. For example, they will file a joint return (Rule 2). Their investment income ($50 interest from a savings account) is less than $2,550 (Rule 5). All three of their children are qualifying children (Rule 7). Their AGI of $17,206 ($16,000 + $50 + $706 - $1,000 + $1,500 - $50) is less than $34,178 (Rule 14).
Completing EIC Worksheet B. Because the Browns have self-employment income and want to figure their credit themselves, they complete EIC Worksheet B (shown later).
Part 1. David and Judy begin EIC Worksheet B with Part 1 because Judy is self-employed and will file Schedule SE. They enter $706 and $50 from Judy's Schedule SE on lines 1a and 1d respectively. They figure line 1e to be $656 ($706 - $50).
Part 2. Because David is not filing Schedule SE, the Browns enter David's $1,000 loss on lines 2b and 2c. They put this amount in parentheses because it is a loss. They skip Part 3 because neither David nor Judy is a statutory employee.
Part 4. The Browns enter $16,000 (the earned income they figured using Worksheet 2) on line 4a. They combine lines 1e, 2c, 3, and 4a and enter the result, $15,656, on line 4b. Because that amount is less than $34,178, they qualify for the credit, so they enter $15,656 on line 6.
Part 5. David and Judy look up the amount on line 6 ($15,656) in the EIC Table. To find their credit, they look in the column for Married filing jointly with Two children. They enter the amount of $3,897 on line 7. They enter their AGI ($17,206 from line 34 of Form 1040) on line 8 and see that it is different from the amount on line 6. They look up $17,206 in the EIC Table and enter the amount of $3,570 on line 10.
Part 6. The Browns enter $3,570 on line 11. This is the smaller of the line 7 amount ($3,897) and the line 10 amount ($3,570). They also enter $3,570 on line 64 of their Form 1040. They will now complete Schedule EIC (not shown), including information for two of their three children, and attach it to their return. They will keep EIC Worksheet B for their records.

Browns' EIC Worksheet B, Page 1

Browns' EIC Worksheet B, page 2
Example 3. Sharon Rose
Sharon Rose is age 63 and retired. She received $7,000 in social security benefits during the year and $5,850 from a part-time job. She also received a taxable pension of $5,400. Sharon had no other income. Her AGI on line 22 of Form 1040A is $11,250 ($5,850 + $5,400).
Sharon is not married and lived alone in the United States for the entire year. She cannot be claimed as a dependent on anyone else's return. She does not have any investment income and does not have a qualifying child.
Sharon reads the steps for eligibility in her Form 1040A instructions. In Step 1 she discovers that, because her AGI ($11,250) is not less than $11,060, she cannot take the EIC. She completes the rest of her Form 1040A and files it with the IRS.
Example 4. Steve and Linda Green
Steve and Linda Green have two children, Amy, age 8, and Carol, age 10, who lived with them all year.
Steve owns and operates a dairy farm that had a loss of $2,000 in 2002. Steve reports this loss on Schedule F and on Form 1040, line 18. Steve qualifies and chooses to use the optional method to figure net earnings, so he uses Section B of Schedule SE. He enters $1,600 on lines 15 and 4b of Section B of Schedule SE. Steve figures self-employment tax of $244. He deducts one-half of it ($122) on line 29 (Form 1040).
Linda had wages of $15,000, which she reports on Form 1040, line 7. She also received advance EIC payments of $1,140, which she reports on Form 1040, line 59.
Steve and Linda had a $1,000 gain from the sale of stock and a $3,000 gain from the sale of raised dairy cows they had held for 3 years. They report the $3,000 gain on Form 4797, Sales of Business Property. They do not have any other sales to report on Form 4797, so they enter $3,000 on line 7 of Form 4797 and on line 11, column (f), of Schedule D. (They have no prior year section 1231 losses.) They report their net capital gain of $4,000 ($1000 + $3,000) from Schedule D on Form 1040, line 13.
The Greens read Publication 596 and find that they meet all the rules to claim the EIC. For example, they will file a joint return (Rule 2).Their investment income, figured on Worksheet 1 (shown here), is $1,000, which is less than $2,550 (Rule 5). Also, their AGI of $16,878 ($15,000 + $4,000 - $2,000 - $122) is less than $34,178 (Rule 14). They use EIC Worksheet B (shown here) to figure their EIC of $3,644. They also complete Schedule EIC (not shown) and attach it to their Form 1040.

Greens' Worksheet 1: Investment Income Worksheet

Greens' EIC Worksheet B, page 1

Greens' EIC Worksheet B, page 2
Appendix

Earned Income Credit (EIC) Table

Earned Income Credit (EIC) Table

Earned Income Credit (EIC) Table

Earned Income Credit (EIC) Table

Earned Income Credit (EIC) Table

Earned Income Credit (EIC) Table
How To Get Tax Help
You can get help with unresolved tax issues, order free publications and forms, ask tax questions, and get more information from the IRS in several ways. By selecting the method that is best for you, you will have quick and easy access to tax help.
Contacting your Taxpayer Advocate. If you have attempted to deal with an IRS problem unsuccessfully, you should contact your Taxpayer Advocate.
The Taxpayer Advocate represents your interests and concerns within the IRS by protecting your rights and resolving problems that have not been fixed through normal channels. While Taxpayer Advocates cannot change the tax law or make a technical tax decision, they can clear up problems that resulted from previous contacts and ensure that your case is given a complete and impartial review.
To contact your Taxpayer Advocate:
- Call the Taxpayer Advocate at 1-877-777-4778.
- Call, write, or fax the Taxpayer Advocate office in your area.
- Call 1-800-829-4059 if you are a TTY/TDD user.
For more information, see Publication 1546, The Taxpayer Advocate Service of the IRS.
Free tax services. To find out what services are available, get Publication 910, Guide to Free Tax Services. It contains a list of free tax publications and an index of tax topics. It also describes other free tax information services, including tax education and assistance programs and a list of TeleTax topics.
Personal computer. With your personal computer and modem, you can access the IRS on the Internet at www.irs.gov. While visiting our web site, you can:
- See answers to frequently asked tax questions or request help by e-mail.
- Download forms and publications or search for forms and publications by topic or keyword.
- Order IRS products on-line.
- View forms that may be filled in electronically, print the completed form, and then save the form for recordkeeping.
- View Internal Revenue Bulletins published in the last few years.
- Search regulations and the Internal Revenue Code.
- Receive our electronic newsletters on hot tax issues and news.
- Learn about the benefits of filing electronically (IRS e-file).
- Get information on starting and operating a small business.
You can also reach us with your computer using File Transfer Protocol at ftp.irs.gov.
TaxFax Service. Using the phone attached to your fax machine, you can receive forms and instructions by calling 703-368-9694. Follow the directions from the prompts. When you order forms, enter the catalog number for the form you need. The items you request will be faxed to you.
For help with transmission problems, call the FedWorld Help Desk at 703-487-4608.
Phone. Many services are available by phone.
- Ordering forms, instructions, and publications. Call 1-800-829-3676 to order current and prior year forms, instructions, and publications.
- Asking tax questions. Call the IRS with your tax questions at 1-800-829-1040.
- Solving problems. Take advantage of Everyday Tax Solutions service by calling your local IRS office to set up an in-person appointment at your convenience. Check your local directory assistance or www.irs.gov for the numbers.
- TTY/TDD equipment. If you have access to TTY/TDD equipment, call 1-800-829-4059 to ask tax questions or to order forms and publications.
- TeleTax topics. Call 1-800-829-4477 to listen to pre-recorded messages covering various tax topics.
Evaluating the quality of our telephone services. To ensure that IRS representatives give accurate, courteous, and professional answers, we use several methods to evaluate the quality of our telephone services. One method is for a second IRS representative to sometimes listen in on or record telephone calls. Another is to ask some callers to complete a short survey at the end of the call.
Walk-in. Many products and services are available on a walk-in basis.
- Products. You can walk in to many post offices, libraries, and IRS offices to pick up certain forms, instructions, and publications. Some IRS offices, libraries, grocery stores, copy centers, city and county governments, credit unions, and office supply stores have an extensive collection of products available to print from a CD-ROM or photocopy from reproducible proofs. Also, some IRS offices and libraries have the Internal Revenue Code, regulations, Internal Revenue Bulletins, and Cumulative Bulletins available for research purposes.
- Services. You can walk in to your local IRS office to ask tax questions or get help with a tax problem. Now you can set up an appointment by calling your local IRS office number and, at the prompt, leaving a message requesting Everyday Tax Solutions help. A representative will call you back within 2 business days to schedule an in-person appointment at your convenience.
Mail. You can send your order for forms, instructions, and publications to the Distribution Center nearest to you and receive a response within 10 workdays after your request is received. Find the address that applies to your part of the country.
- Western part of U.S.:
Western Area Distribution Center
Rancho Cordova, CA 95743-0001
- Central part of U.S.:
Central Area Distribution Center
P.O. Box 8903
Bloomington, IL 61702-8903
- Eastern part of U.S. and foreign addresses:
Eastern Area Distribution Center
P.O. Box 85074
Richmond, VA 23261-5074
CD-ROM for tax products. You can order IRS Publication 1796, Federal Tax Products on CD-ROM, and obtain:
- Current tax forms, instructions, and publications.
- Prior-year tax forms and instructions.
- Popular tax forms that may be filled in electronically, printed out for submission, and saved for recordkeeping.
- Internal Revenue Bulletins.
The CD-ROM can be purchased from National Technical Information Service (NTIS) by calling 1-877-233-6767 or on the Internet at http://www.irs.gov/cdorders. The first release is available in early January and the final release is available in late February.
CD-ROM for small businesses. IRS Publication 3207, Small Business Resource Guide, is a must for every small business owner or any taxpayer about to start a business. This handy, interactive CD contains all the business tax forms, instructions, and publications needed to successfully manage a business. In addition, the CD provides an abundance of other helpful information, such as how to prepare a business plan, finding financing for your business, and much more. The design of the CD makes finding information easy and quick and incorporates file formats and browsers that can be run on virtually any desktop or laptop computer.
It is available in March. You can get a free copy by calling 1-800-829-3676 or by visiting the website at www.irs.gov/smallbiz.
EIC Eligibility Checklist
| You may claim the EIC if you answer YES to all the following questions.* |
| |
|
YES |
NO |
| 1. |
Do you, your spouse, and your qualifying child each have a valid SSN? (See Rule 1.) |
![[ ]](graphics/squ.gif) |
![[ ]](graphics/squ.gif) |
| 2. |
Is your filing status married filing jointly, head of household, qualifying widow(er), or single? (See Rule 2.) Caution: If you are a nonresident alien, answer YES only if your filing status is married filing jointly and you are married to a U.S. citizen or resident alien. (See Rule 3.) |
![[ ]](graphics/squ.gif) |
![[ ]](graphics/squ.gif) |
| 3. |
Answer YES if you are not filing Form 2555 or Form 2555-EZ. Otherwise, answer NO. (See Rule 4.) |
![[ ]](graphics/squ.gif) |
![[ ]](graphics/squ.gif) |
| 4. |
Is your investment income $2,550 or less? (See Rule 5.) |
![[ ]](graphics/squ.gif) |
![[ ]](graphics/squ.gif) |
| 5. |
Is your AGI less than:
- $11,060 ($12,060 for married filing jointly) if you do not have a qualifying child,
- $29,201 ($30,201 for married filing jointly) if you have one qualifying child, or
- $33,178 ($34,178 for married filing jointly) if you have more than one qualifying child? (See Rule 14.)
|
![[ ]](graphics/squ.gif) |
![[ ]](graphics/squ.gif) |
| 6. |
Is your total earned income at least $1 but less than:
- $11,060 ($12,060 for married filing jointly) if you do not have a qualifying child,
- $29,201 ($30,201 for married filing jointly) if you have one qualifying child, or
- $33,178 ($34,178 for married filing jointly) if you have more than one qualifying child? (See Rules 6 and 15.)
|
![[ ]](graphics/squ.gif) |
![[ ]](graphics/squ.gif) |
| 7. |
Answer YES if you (and your spouse if filing a joint return) are not a qualifying child of another person. Otherwise, answer NO. (See Rules 9 and 12.) |
![[ ]](graphics/squ.gif) |
![[ ]](graphics/squ.gif) |
| |
STOP: If you have a qualifying child, answer questions 8 and 9 and skip 10-12. If you do not have a qualifying child, skip questions 8 and 9 and answer 10-12.* |
|
|
| 8. |
Does your child meet the age, residency, and relationship tests for a qualifying child? (See Rule 7.) |
![[ ]](graphics/squ.gif) |
![[ ]](graphics/squ.gif) |
| 9. |
Is your child a qualifying child only for you? Answer YES if your qualifying child also meets the tests to be a qualifying child of another person, but either (a) the other person is not claiming the EIC using that child, or (b) if the other person is claiming the EIC using that child, Rule 8 allows you, and not the other person, to treat the child as qualifying child. (See Rule 8.) |
![[ ]](graphics/squ.gif) |
![[ ]](graphics/squ.gif) |
| 10. |
Was your main home (and your spouse's if filing a joint return) in the United States for more than half the year? (See Rule 13.) |
![[ ]](graphics/squ.gif) |
![[ ]](graphics/squ.gif) |
| 11. |
Were you (or your spouse if filing a joint return) at least age 25 but under age 65 at the end of 2002? (See Rule 10.) |
![[ ]](graphics/squ.gif) |
![[ ]](graphics/squ.gif) |
| 12. | Answer YES if you (and your spouse if filing a joint return) cannot be claimed as a dependent on anyone else's return. Answer NO if you (or your spouse if filing a joint return) can be claimed as a dependent on someone else's return. (See Rule 11.) | ![[ ]](graphics/squ.gif) | ![[ ]](graphics/squ.gif) |
| *PERSONS WITH A QUALIFYING CHILD: If you answered YES to questions 1 through 9, you can claim the EIC. Remember to fill out Schedule EIC and attach it to your Form 1040 or Form 1040A. You cannot use Form 1040EZ. |
| PERSONS WITHOUT A QUALIFYING CHILD: If you answered YES to questions 1 through 7, and 10 through 12, you can claim the EIC. |
| If you answered NO to any question that applies to you: You cannot claim the EIC. |
Previous | First
Publication Index | 2002 Tax Help Archives | Tax Help Archives | Home