2003 Tax Help Archives  

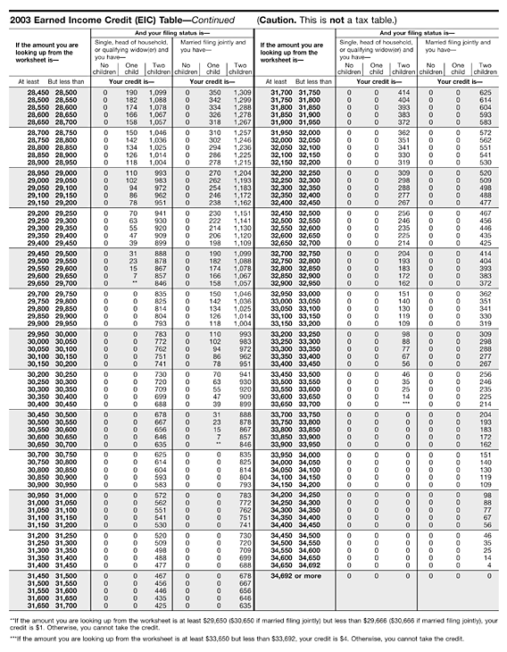
2003 Earned Income Credit (EIC) Table (cont.)
$28.450 to $34,692 or More

This is archived information that pertains only to the 2003 Tax Year. If you
are looking for information for the current tax year, go to the Tax Prep Help Area.