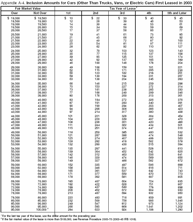
Appendix A-4. Inclusion Amounts for Cars (Other Than Electric Cars) First leased in 2003Please click the link to view the image description.