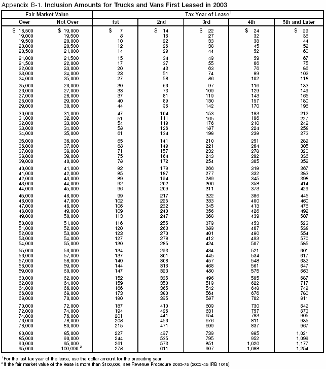
Appendix B-1. Inclusion Amounts for  Trucks and Vans First leased in 2003Please click the link to view the image description.