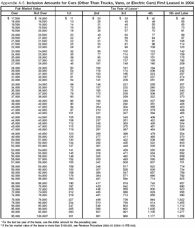
Appendix A-5. Inclusion Amounts for Cars (Other Than Electric Cars) First leased in 2004Please click the link to view the image description.