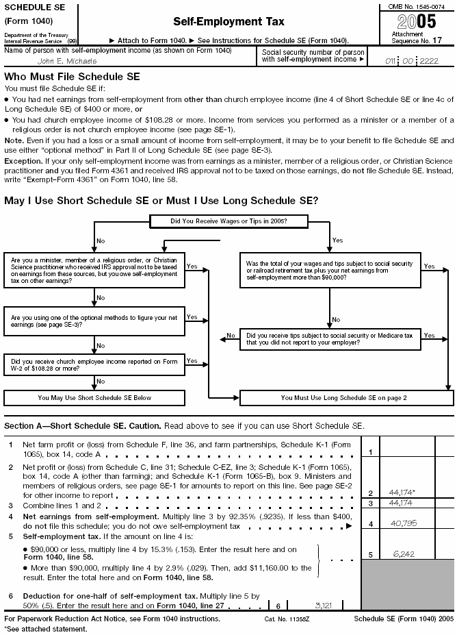
Schedule SE (Form 1040) Please click the link to view the image description.