2003 Tax Help Archives  
Publication 17 2003 Tax Year

Tax on Investment Income of Certain Minor Children

This is archived information that pertains only to the 2003 Tax Year. If you
are looking for information for the current tax year, go to the Tax Prep Help Area.

Introduction

This chapter discusses two special rules that apply to the tax on certain investment income of a child under age 14.

  1. If the child's interest, dividends, and other investment income total more than $1,500, part of that income may be taxed at the parent's tax rate instead of the child's tax rate. (See Tax for Children Under Age 14 Who Have Investment Income of More Than $1,500, later.)
  2. If the child's interest and dividend income total less than $7,500, the child's parent may be able to choose to include that income (including capital gain distributions) on the parent's return rather than file a return for the child. (See Parent's Election To Report Child's Interest and Dividends, later.)

For these rules, the term “child” includes a legally adopted child and a stepchild. These rules apply whether or not the child is a dependent.

These rules do not apply if:

  1. The child is not required to file a tax return, or
  2. Neither of the child's parents were living at the end of the tax year.

Useful Items - You may want to see:

Publication

  • 929 Tax Rules for Children and Dependents

Form (and Instructions)

  • 8615
    Tax for Children Under Age 14 With Investment Income of More Than $1,500
  • 8814
    Parents' Election To Report Child's Interest and Dividends

Which Parent's
Return To Use

If a child's parents are married to each other and file a joint return, use the joint return to figure the tax on the investment income of a child under age 14. The tax rate and other return information from that return are used to figure the child's tax as explained later under Tax for Children Under Age 14 Who Have Investment Income of More Than $1,500.

Parents Who Do Not File a Joint Return

For parents who do not file a joint return, the following discussions explain which parent's tax return must be used to figure the tax. Only the parent whose tax return is used can make the election described under Parent's Election To Report Child's Interest and Dividends.

Parents are married.

If the child's parents file separate returns, use the return of the parent with the greater taxable income.

Parents not living together.

If the child's parents are married to each other but not living together, and the parent with whom the child lives (the custodial parent) is considered unmarried, use the return of the custodial parent. If the custodial parent is not considered unmarried, use the return of the parent with the greater taxable income.

For an explanation of when a married person living apart from his or her spouse is considered unmarried, see Head of Household in chapter 2.

Parents are divorced.

If the child's parents are divorced or legally separated, and the parent who had custody of the child for the greater part of the year (the custodial parent) has not remarried, use the return of the custodial parent.

Custodial parent remarried.

If the custodial parent has remarried, the stepparent (rather than the noncustodial parent) is treated as the child's other parent. Therefore, if the custodial parent and the stepparent file a joint return, use that joint return. Do not use the return of the noncustodial parent.

If the custodial parent and the stepparent are married, but file separate returns, use the return of the one with the greater taxable income. If the custodial parent and the stepparent are married but not living together, the earlier discussion under Parents not living together applies.

Parents never married.

If a child's parents did not marry each other, but lived together all year, use the return of the parent with the greater taxable income. If the parents did not live together all year, the rules explained earlier under Parents are divorced apply.

Widowed parent remarried.

If a widow or widower remarries, the new spouse is treated as the child's other parent. The rules explained earlier under Custodial parent remarried apply.

Parent's Election
To Report Child's
Interest and Dividends

You may be able to elect to include your child's interest and dividend income (including capital gain distributions) on your tax return. If you do, your child will not have to file a return.

You can make this election for 2003 only if all the following conditions are met.

  1. Your child was under age 14 at the end of 2003. (A child born on January 1,1990, is considered to be age 14 at the end of 2003. You cannot make the election for this child.)
  2. Your child is required to file a return for 2003, unless you make this election.
  3. Your child had income only from interest and dividends (including capital gain distributions and Alaska Permanent Fund dividends).
  4. The dividend and interest income was less than $7,500.
  5. No estimated tax payment was made for 2003 and no 2002 overpayment was applied to 2003 under your child's name and social security number.
  6. No federal income tax was taken out of your child's income under the backup withholding rules.
  7. You are the parent whose return must be used when applying the special tax rules for children under age 14. (See Which Parent's Return To Use, earlier.)

These conditions are also shown in Figure 33–A.

How to make the election.

Make the election by attaching Form 8814 to your Form 1040 or Form 1040NR. (If you make this election, you cannot file Form 1040A or Form 1040EZ.) Attach a separate Form 8814 for each child for whom you make the election. You can make the election for one or more children and not for others.

Effect of Making the Election

The federal income tax on your child's income may be more if you make the Form 8814 election.

Rate may be higher.

If you use Form 8814, the child's income may be taxed at a higher rate on your return than it would be on the child's own return.

Deductions you cannot take.

By making the Form 8814 election, you cannot take any of the following deductions that the child would be entitled to on his or her return.

Figure 32–A. Can You Include Your Child's Income On Your Tax Return?

Figure 32–A. Can You Include Your Child's Income On Your Tax Return?

  1. The higher standard deduction for a blind child.
  2. The deduction for a penalty on an early withdrawal of your child's savings.
  3. Itemized deductions (such as your child's investment expenses or charitable contributions).

Reduced deductions or credits.

If you use Form 8814, your increased adjusted gross income may reduce certain deductions or credits on your return including the following.

  1. Deduction for contributions to a traditional individual retirement arrangement (IRA).
  2. Deduction for student loan interest.
  3. Itemized deductions for medical expenses, casualty and theft losses, and certain miscellaneous expenses.
  4. Total itemized deductions.
  5. Personal exemptions.
  6. Credit for child and dependent care expenses.
  7. Child tax credit.
  8. Education tax credits.
  9. Earned income credit.

Penalty for underpayment of estimated tax.

If you make this election for 2003 and did not have enough tax withheld or pay enough estimated tax to cover the tax you owe, you may be subject to a penalty. If you plan to make this election for 2004, you may need to increase your federal income tax withholding or your estimated tax payments to avoid the penalty. See chapter 5 for more information.

Figuring Child's Income

Use Part I of Form 8814 to figure your child's interest and dividend income to report on your return. Only the amount over $1,500 is added to your income. This amount is shown on line 6 of Form 8814. Include this amount on line 21 of Form 1040 or Form 1040NR. Write “Form 8814” in the space next to line 21. If you file more than one Form 8814, include the total amounts from line 6 of all your Forms 8814 on line 21.

Capital gain distributions and qualified dividends.

If your child's dividend income included any capital gain distributions see Capital gain distributions under Figuring Child's Income in Part 2 of Publication 929. If your child's dividend income included any qualified dividends, see Qualified dividends under Figuring Child's Income in Part 2 of Publication 929.

Figuring Additional Tax

Use Part II of Form 8814 to figure the tax on the $1,500 of your child's interest and dividends that you do not include in your income. This tax is added to the tax figured on your income.

This additional tax is the smaller of:

  1. 10% × (your child's gross income - $750), or
  2. $75.

Include the amount from line 9 of all your Forms 8814 in the total on line 41, Form 1040, or line 39, Form 1040NR. Check box a on Form 1040, line 41, or Form 1040NR, line 39.

Illustrated Example

David and Linda Parks are married and will file separate tax returns for 2003. Their only child, Philip, is 8. Philip received a Form 1099–INT showing $3,500 taxable interest income. His parents decide to include that income on one of their returns so they will not have to file a return for Philip.

First, David and Linda each figure their taxable income (Form 1040, line 40) without regard to Philip's income. David's taxable income is $41,700 and Linda's is $59,300. Because her taxable income is greater, Linda can elect to include Philip's income on her return. See Which Parent's Return To Use, earlier.

On Form 8814 (see illustrated form), Linda enters her name and social security number, then Philip's name and social security number. She enters Philip's taxable interest income, $3,500, on line 1a. Philip had no tax-exempt interest income, so she leaves line 1b blank. Philip did not have any dividends or capital gain distributions, so she leaves lines 2 and 3 blank.

Linda enters $3,500 on line 4. From that amount she subtracts the $1,500 base amount shown on line 5 and enters the result, $2,000, on line 6. This is the part of Philip's income that Linda must add to her income.

Linda includes the $2,000 in the total on line 21 of her Form 1040 and in the space next to that line prints “Form 8814 – $2,000.” Adding that amount to her income increases each of the amounts on lines 22, 34, 35, 38, and 40 of her Form 1040 by $2,000. Linda is not claiming any deductions or credits that are affected by the increase to her income. Therefore, her revised taxable income on line 40 is $61,300 ($59,300 + $2,000).

On Form 8814, Linda subtracts the $750 shown on line 7 from the $3,500 on line 4 and enters the result, $2,750, on line 8. Because that amount is not less than $750, she checks the “No” box and enters $75 on line 9. This is the tax on the first $1,500 of Philip's income, which Linda did not have to add to her income. She must add this additional tax to the tax figured on her revised taxable income.

The tax on her $61,300 revised taxable income is $12,261. She adds $75, and enters the $12,336 total on line 41 of Form 1040, and checks box a.

Linda attaches Form 8814 to her Form 1040.


Please click the link to view the image.

Filled-in Form 8814Forms: 8814for Linda Parks

Tax for Children Under Age 14 Who Have Investment Income of More Than $1,500

Part of a child's 2003 investment income may be subject to tax at the parent's tax rate if all of the following statements are true.

  1. The child's investment income was more than $1,500.
  2. The child is required to file a return for 2003.
  3. The child was under age 14 at the end of 2003. (A child born on January 1, 1990, is considered to be age 14 at the end of 2003. This child's investment income is not taxed at the parent's rate.)

These conditions are also shown in Figure
33–B
.

If neither parent was alive on December 31, 2003, do not use Form 8615. Instead, figure the child's tax in the normal manner.

If the parent does not or cannot choose to include the child's income on the parent's return, use Form 8615 to figure the child's tax. Attach the completed form to the child's Form 1040, Form 1040A, or Form 1040NR.

The following discussions explain the parental information needed for Form 8615 and the steps to follow in figuring the child's tax. Form 8615 is illustrated later.

Providing Parental Information
(Form 8615, lines A–C)

On lines A and B of Form 8615, enter the parent's name and social security number. (If the parents filed a joint return, enter the name and social security number listed first on the joint return.) On line C, check the box for the parent's filing status.

Figure 33-B. Do You Have To Use Form 8615 To Figure Your Child's Tax?

Figure 33-B. Do You Have To Use Form 8615 To Figure Your Child's Tax?

See Which Parent's Return To Use at the beginning of this chapter for information on which parent's return information must be used on Form 8615.

Parent with different tax year.

If the parent and the child do not have the same tax year, complete Form 8615 using the information on the parent's return for the tax year that ends in the child's tax year.

Parent's return information not known timely.

If the information needed from the parent's return is not known by the time the child's return is due (usually April 15), you can file the return using estimates.

You can use any reasonable estimate. This includes using information from last year's return. If you use an estimated amount on Form 8615, write “Estimated” on the line next to the amount.

When you get the correct information, file an amended return on Form 1040X, Amended U.S. Individual Income Tax Return.

Instead of using estimated information, you may want to request an extension of time to file. Extensions are discussed in chapter 1.

Step 1. Figuring the Child's Net Investment Income
(Form 8615, Part I)

The first step in figuring a child's tax using Form 8615 is to figure the child's net investment income. To do that, use Part I of Form 8615.

Line 1 (investment income).

If the child had no earned income, enter on this line the adjusted gross income shown on the child's return. Adjusted gross income is shown on line 35 of Form 1040, line 22 of Form 1040A, or line 34 of Form 1040NR. Form 1040EZ and Form 1040NR-EZ cannot be used if Form 8615 must be filed.

If the child had earned income, figure the amount to enter on line 1 of Form 8615 by using the worksheet in the instructions for the form.

However, if the child has excluded any foreign earned income or deducted either a loss from self-employment or a net operating loss from another year, use the Alternate Worksheet for Line 1 of Form 8615 in Publication 929 to figure the amount to enter on line 1 of Form 8615.

Investment income defined.

Investment income is generally all income other than salaries, wages, and other amounts received as pay for work actually done. It includes taxable interest, dividends, capital gains (including capital gain distributions), the taxable part of social security and pension payments, and certain distributions from trusts. Investment income includes amounts produced by assets the child obtained with earned income (such as interest on a savings account into which the child deposited wages).

Nontaxable income.

For this purpose, investment income includes only amounts that the child must include in total income. Nontaxable investment income, such as tax-exempt interest and the nontaxable part of social security and pension payments, is not included.

Income from property received as a gift.

A child's investment income includes all income produced by property belonging to the child. This is true even if the property was transferred to the child, regardless of when the property was transferred or purchased or who transferred it.

A child's investment income includes income produced by property given as a gift to the child. This includes gifts to the child from grandparents or any other person and gifts made under the Uniform Gift to Minors Act.

Example.

Amanda Black, age 13, received the following income.

  • Dividends — $600
  • Wages — $2,100
  • Taxable interest — $1,200
  • Tax-exempt interest — $100
  • Net capital gains — $100.

The dividends were on stock given to her by her grandparents.

Amanda's investment income is $1,900. This is the total of the dividends ($600), taxable interest ($1,200), and net capital gains ($100). Her wages are earned (not investment) income because they are received for work actually done. Her tax-exempt interest is not included because it is nontaxable.

Trust income.

If a child is the beneficiary of a trust, distributions of taxable interest, dividends, capital gains, and other investment income from the trust are investment income to the child.

Line 2 (deductions).

If the child does not itemize deductions on Schedule A (Form 1040 or Form 1040NR), enter $1,500 on line 2.

If the child does itemize deductions, enter on line 2 the larger of:

  1. $750 plus the child's itemized deductions that are directly connected with the production of investment income entered on line 1, or
  2. $1,500.

Directly connected.

Itemized deductions are directly connected with the production of investment income if they are for expenses paid to produce or collect taxable income or to manage, conserve, or maintain property held for producing income. These expenses include custodian fees and service charges, service fees to collect taxable interest and dividends, and certain investment counsel fees.

These expenses are added to certain other miscellaneous deductions on Schedule A (Form 1040). Only the amount greater than 2% of the child's adjusted gross income can be deducted. See chapter 30 for more information.

Example 1.

Roger, age 12, has investment income of $8,000, no other income, no adjustments to income, and itemized deductions of $300 (net of the 2%-of-adjusted-gross-income limit) that are directly connected with his investment income. His adjusted gross income is $8,000, which is entered on line 35 of Form 1040 and on line 1 of Form 8615. Line 2 is $1,500 because that is more than the sum of $750 and his directly-connected itemized deductions of $300.

Example 2.

Eleanor, 8, has investment income of $16,000 and an early withdrawal penalty of $100. She has no other income. She has itemized deductions of $1,050 (net of the 2%-of-adjusted-gross-income limit) that are directly connected with the production of her investment income. Her adjusted gross income, entered on line 1, is $15,900 ($16,000 - $100). The amount on line 2 is $1,800. This is the larger of:

  1. $750 plus the $1,050 of directly connected itemized deductions, or
  2. $1,500.

Line 3.

Subtract line 2 from line 1 and enter the result on this line. If zero or less, do not complete the rest of the form. However, you must still attach Form 8615 to the child's tax return. Figure the tax on the child's taxable income in the normal manner.

Line 4 (child's taxable income).

Enter on line 4 the child's taxable income from Form 1040, line 40; Form 1040A, line 27; or Form 1040NR, line 38.

Line 5 (net investment income).

A child's net investment income cannot be more than his or her taxable income. Enter on line 5 the smaller of line 3 or line 4 of Form 8615. This is the child's net investment income.

If zero or less, do not complete the rest of the form. However, you must still attach Form 8615 to the child's tax return. Figure the tax on the child's taxable income in the normal manner.

Step 2. Figuring
Tentative Tax at
the Parent's Tax Rate
(Form 8615, Part II)

The tentative tax is the difference between the tax on the parent's taxable income figured with the child's net investment income (plus the net investment income of any other child whose Form 8615 includes the tax return information of that parent) and the tax figured without it.

When figuring the tentative tax at the parent's tax rate, do not refigure any of the exclusions, deductions, or credits on the parent's return because of the child's net investment income. For example, do not refigure the medical expense deduction.

Figure the tentative tax on lines 6 through 13 of Form 8615.

Note.

If the child has any capital gains or losses, get Publication 929 for help in completing Part II of Form 8615.

Line 7 (net investment income of other children).

If the tax return information of the parent is also used on any other child's Form 8615, enter on line 7 the total of the amounts from line 5 of all the other children's Forms 8615. Do not include the amount from line 5 of the Form 8615 being completed.

Example.

Paul and Jane Persimmon have three children, Sharon, Jerry, and Mike, who must attach Form 8615 to their tax returns. The children's net investment income amounts on line 5 of their Forms 8615 are:

  • Sharon — $800
  • Jerry — $600
  • Mike — $1,000

Line 7 of Sharon's Form 8615 will show $1,600 ($600 + $1,000), the total of the amounts on line 5 of Jerry's and Mike's Forms 8615.

Line 7 of Jerry's Form 8615 will show $1,800 ($800 + $1,000).

Line 7 of Mike's Form 8615 will show $1,400 ($800 + $600).

Other children's information not available.

If the net investment income of the other children is not available when the return is due, either file the return using estimates or get an extension of time to file. See Parent's return information not known timely, earlier.

Line 11 (tentative tax).

Subtract line 10 from line 9 and enter the result on this line. This is the tentative tax.

If line 7 is blank, skip lines 12a and 12b and enter the amount from line 11 on line 13.

Lines 12a and 12b (dividing the tentative tax).

If an amount is entered on line 7, divide the tentative tax shown on line 11 among the children according to each child's share of the total net investment income. This is done on lines 12a, 12b, and 13. Add the amount on line 7 to the amount on line 5 and enter the total on line 12a. Divide the amount on line 5 by the amount on line 12a and enter the result as a decimal on line 12b.

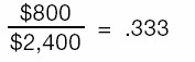
Example.

In the earlier example under Line 7 (net investment income of other children), Sharon's Form 8615 shows $1,600 on line 7. The amount entered on line 12a is $2,400, the total of lines 5 and 7 ($800 + $1,600). The decimal on line 12b is .333, figured as follows and rounded to three places.

ch 33 formula 1

ch 33 formula 1

Step 3. Figuring
the Child's Tax
(Form 8615, Part III)

The final step in figuring a child's tax using Form 8615 is to determine the larger of:

  1. The total of:

    1. The child's share of the tentative tax based on the parent's tax rate, plus
    2. The tax on the child's taxable income in excess of net investment income, figured at the child's tax rate, or

  2. The tax on the child's taxable income, figured at the child's tax rate.

This is the child's tax. It is figured on lines 14 through 18 of Form 8615.

Alternative minimum tax.

A child may be subject to alternative minimum tax (AMT) if he or she has certain items given preferential treatment under the tax law. See Alternative Minimum Tax in chapter 32.

For more information on who is liable for AMT and how to figure it, get Form 6251. For information on special limits that apply to a child who files Form 6251, Alternative Minimum Tax—Individuals, see Alternative Minimum Tax in Publication 929.

Illustrated Example

The following example includes a completed Form 8615. Form 1040A is not shown.

John and Laura Brown have one child, Sara. She is 13 and has $2,800 taxable interest income and $1,500 earned income. She does not itemize deductions. John and Laura file a joint return with John's name and social security number listed first. They claim three exemptions, including an exemption for Sara, on their return.

Because Sara is under age 14 and has more than $1,500 investment income, part of her income may be subject to tax at her parents' rate. A completed Form 8615 must be attached to her return.

Sara's father, John, fills out Sara's return for her.

John enters his name and social security number on Sara's Form 8615 because his name and number are listed first on the joint return he and Laura are filing. He checks the box for married filing jointly.

He enters Sara's investment income, $2,800, on line 1. Sara does not itemize deductions, so John enters $1,500 on line 2. He enters $1,300 ($2,800 - $1,500) on line 3.

Sara's taxable income, as shown on line 27 of her Form 1040A, is $2,550. This is her total income ($4,300) minus her standard deduction ($1,750). Her standard deduction is limited to the amount of her earned income plus $250. John enters $2,550 on line 4.

John compares lines 3 and 4 and enters the smaller amount, $1,300, on line 5.

John enters $48,000 on line 6. This is the taxable income from line 40 of their joint Form 1040 return. Sara is an only child, so line 7 is blank. He adds line 5 ($1,300), line 6 ($48,000), and line 7 (blank), and enters $49,300 on line 8.

Using the column for married filing jointly in the Tax Table, John finds the tax on $49,300. He enters the tax, $6,699 on line 9. He enters $6,504 on line 10. This is the tax from line 41 of John and Laura's Form 1040. He enters $195 on line 11 ($6,699 - $6,504).

Because line 7 is blank, John skips lines 12a and 12b and enters $195 on line 13.

John subtracts line 5 ($1,300) from line 4 ($2,550) and enters the result, $1,250, on line 14. Using the column for single filing status in the Tax Table, John finds the tax on $1,250 and enters this tax, $126, on line 15. He adds lines 13 ($195) and 15 ($126) and enters $321 on line 16.

Using the column for single filing status in the Tax Table, John finds the tax on $2,550 ( line 4) and enters this tax, $256, on line 17.

John compares lines 16 and 17 and enters the larger amount, $321, on line 18 of Sara's Form 8615. He also enters that amount on line 28 of Sara's Form 1040A.

John also completes Schedule 1 (Form 1040A) for Sara.


Please click the link to view the image.

FormForms: 8615

Publications Index | 2003 Tax Help Archives | Tax Help Archives | Home