Tax Help Archives  
Pub. 15-T, New Withholding Tables 2004 Tax Year

Main Contents

This is archived information that pertains only to the 2004 Tax Year. If you
are looking for information for the current tax year, go to the Tax Prep Help Area.

Notice to Employers

Make the notice on page 63 available to employees so that they will be aware of how the new law affects their withholding. A copy of Form W-4, Employee's Withholding Allowance Certificate, is included on pages 61 and 62. Employees may submit a new Form W-4 to ensure that the correct amount of tax is being withheld from their pay.

Note:

The 2003 Advance Earned Income Credit Payment Tables and the 2003 Form W-4 are not being revised.

Other 2003 Withholding Rate Changes

Supplemental wages. Effective for wages paid after May 28, 2003 (or as soon as possible thereafter), the supplemental wage flat withholding rate is decreased to 25%. See Circular E (Pub. 15) for more information on supplemental wages.

Backup withholding. Effective for payments after May 28, 2003 (or as soon as possible thereafter), the backup withholding rate is decreased to 28%. See the General Instructions for Forms 1099, 1098, 5498, and W-2G, for more information on backup withholding.

How To Use the Income Tax Withholding Payment Tables

Income Tax Withholding

There are several ways to figure income tax withholding. The following methods of withholding are based on information that you get from your employees on Form W-4, Employee's Withholding Allowance Certificate.

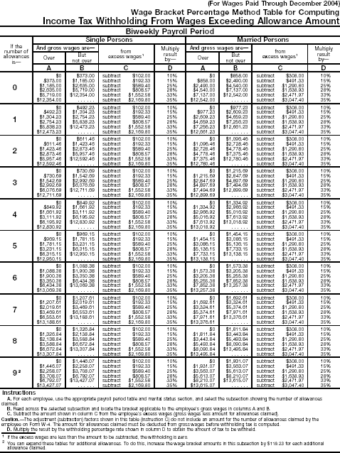
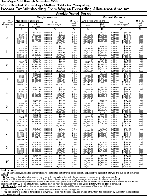
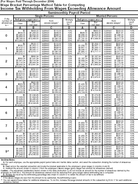
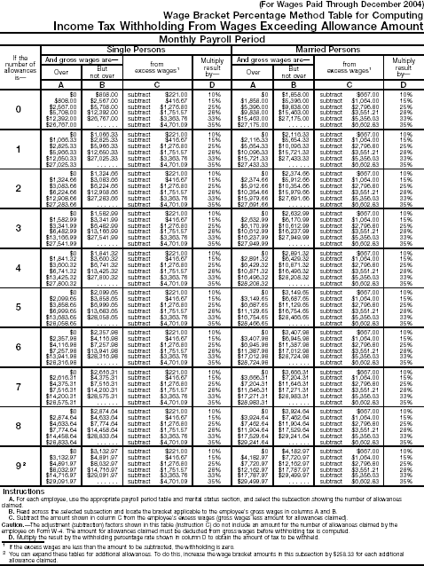
Wage Bracket Method

Under the wage bracket method, find the proper table (on pages 5-24) for your payroll period and the employee's marital status as shown on his or her Form W-4. Then, based on the number of withholding allowances claimed on the Form W-4 and the amount of wages, find the amount of tax to withhold. If your employee is claiming more than 10 withholding allowances, see below.

Note:

If you cannot use the wage bracket tables because wages exceed the amount shown in the last bracket of the table, use the percentage method of withholding described below. Be sure to reduce wages by the amount of total withholding allowances in Table 1 before using the percentage method tables (pages 3-4).

Adjusting wage bracket withholding for employees claiming more than 10 withholding allowances.   The wage bracket tables can be used if an employee claims up to 10 allowances. More than 10 allowances may be claimed because of the special withholding allowance, additional allowances for deductions and credits, and the system itself.

  To adapt the tables to more than 10 allowances:
  1. Multiply the number of withholding allowances over 10 by the allowance value for the payroll period. (The allowance values are in Table 1, Percentage Method—Amount for One Withholding Allowance below.)

  2. Subtract the result from the employee's wages.

  3. On this amount, find and withhold the tax in the column for 10 allowances.

  This is a voluntary method. If you use the wage bracket tables, you may continue to withhold the amount in the “10” column when your employee has more than 10 allowances, using the method above. You can also use any other method described below.

Percentage Method

If you do not want to use the wage bracket tables on pages 5 through 24 to figure how much income tax to withhold, you can use a percentage computation based on Table 1 and the appropriate rate table. This method works for any number of withholding allowances that the employee claims and any amount of wages.

Use these steps to figure the income tax to withhold under the Percentage Method:

  1. Multiply one withholding allowance for your payroll period (see Table 1 below) by the number of allowances that the employee claims.

  2. Subtract that amount from the employee's wages.

  3. Determine the amount to withhold from the appropriate table on page 3 or 4.

Table 1. Percentage Method—Amount for One Withholding Allowance

Payroll Period One Withholding Allowance
Weekly $59.62
Biweekly 119.23
Semimonthly 129.17
Monthly 258.33
Quarterly 775.00
Semiannually 1,550.00
Annually 3,100.00
Daily or miscellaneous (each day of the payroll period) 11.92

Example:   An unmarried employee is paid $600 weekly. This employee has in effect a Form W-4 claiming two withholding allowances. Using the Percentage Method, figure the income tax to withhold as follows:

  
1. Total wage payment $600.00
2. One allowance $59.62  
3. Allowances claimed on Form W-4 2  
4. Multiply line 2 by line 3 $119.24
5. Amount subject to withholding (subtract line 4 from line 1) $480.76
6. Tax to be withheld on $480.76 from Table 1—single person, page 3 $57.66

  To figure the income tax to withhold, you may reduce the last digit of the wages to zero, or figure the wages to the nearest dollar.

Alternative Methods of Income Tax Withholding

Rather than the Percentage Method or Wage Bracket Method, you can use an alternative method to withhold income tax. See page 25 for more information.

Whole-Dollar Withholding (Rounding)

The income tax withholding amounts in the Wage Bracket Tables (pages 5-24) have been rounded to whole-dollar amounts.

When employers use the Percentage Method (pages 3-4) or an alternative method of income tax withholding, the tax for the pay period may be rounded to the nearest dollar.

Percentage Method 1

Percentage Method 1

Percentage Method 2

Percentage Method 2

Wage Bracket 1

Wage Bracket 1

Wage Bracket 2

Wage Bracket 2

Wage Bracket 3

Wage Bracket 3

Wage Bracket 4

Wage Bracket 4

Wage Bracket 5

Wage Bracket 5

Wage Bracket 6

Wage Bracket 6

Wage Bracket 7

Wage Bracket 7

Wage Bracket 8

Wage Bracket 8

Wage Bracket 9

Wage Bracket 9

Wage Bracket 10

Wage Bracket 10

Wage Bracket 11

Wage Bracket 11

Wage Bracket 12

Wage Bracket 12

Wage Bracket 13

Wage Bracket 13

Wage Bracket 14

Wage Bracket 14

Wage Bracket 15

Wage Bracket 15

Wage Bracket 16

Wage Bracket 16

Wage Bracket 17

Wage Bracket 17

Wage Bracket 18

Wage Bracket 18

Wage Bracket 19

Wage Bracket 19

Wage Bracket 20

Wage Bracket 20

Alternative Methods for Figuring Withholding

You may use various methods of figuring income tax withholding. Use the method that best suits your payroll system and employees. Pub. 15-A, Employer's Supplemental Tax Guide, describes these alternatives, including annualized wages, average estimated wages, cumulative wages, and part-year employment.

Other methods.   You may use other methods and tables for withholding taxes, as long as the amount of tax withheld is consistently about the same as it would be under the Percentage Method. If you develop an alternative method or table, you should test the full range of wage and allowance situations to be sure that they meet the tolerances contained in Regulations section 31.3402(h)(4)-1 as shown in the chart below.
If the tax required to be withheld under the annual percentage rate is— The annual tax withheld under your method may not differ by more than—
Less than $10 $9.99
$10 or more but under $100 $10 plus 10% of the excess over $10
$100 or more but under $1,000 $19 plus 3% of the excess over $100
$1,000 or more $46 plus 1% of the excess over $1,000

Formula Tables for Percentage Method Withholding (for Automated Payroll Systems)

Two Formula Tables for Percentage Method Withholding are on pages 26 and 27. The differences in the Alternative Percentage Method formulas and the steps for figuring withheld tax for different payroll systems are shown in this example.

MARRIED PERSON
(Weekly Payroll Period)

If wages exceeding the allowance amount are over $154 but not over $429:
Method: Income Tax Withheld:
Percentage (page 3) 10% of excess over $154
Alternative 1 (page 26) 10% of such wages minus $15.40
Alternative 2 (page 27) Such wages minus $154, times 10% of remainder

When employers use the Percentage Method or the Formula Tables for Percentage Method Withholding, the tax for the pay period may be rounded to the nearest dollar. If rounding is used, it must be used consistently. Withheld tax amounts should be rounded to the nearest whole dollar by: (a) dropping amounts under 50 cents and (b) increasing amounts from 50 to 99 cents to the next higher dollar. This rounding will be considered to meet the tolerances under section 3402(h)(4).

Alternative 1 Percentage Method Table

Alternative 1 Percentage Method Table

Alternative 2 Percentage Method Table

Alternative 2 Percentage Method Table

Wage Bracket Percentage Method Tables (for Automated Payroll Systems)

The Wage Bracket Percentage Method Tables show the gross wage brackets that apply to each withholding percentage rate for employees with up to nine withholding allowances. These tables also show the computation factors for each number of withholding allowances and the applicable wage bracket. The computation factors are used to figure the amount of withholding tax by a percentage method.

Two kinds of Wage Bracket Percentage Method Tables are shown. Each has tables for married and single persons for weekly, biweekly, semimonthly, and monthly payroll periods.

The difference between the two kinds of tables is the reduction factor to be subtracted from wages before multiplying by the applicable percentage withholding rate. In the tables for Computing Income Tax Withholding From Gross Wages on pages 29-32, the reduction factor includes both the amount for withholding allowances claimed and a rate adjustment factor as shown in the Alternative 2—Tables for Percentage Method Withholding Computations on page 27. In the tables for Computing Income Tax Withholding From Wages Exceeding Allowance Amount on pages 33-36, the reduction factor does not include an amount for the number of allowances claimed.

Use the kind of wage bracket table that best suits your payroll system. For example, some payroll systems automatically subtract from wages the allowance amount for each employee before finding the amount of tax to withhold. The tables for Computing Income Tax Withholding From Wages Exceeding Allowance Amount can be used in these systems. The reduction factors in these tables do not include the allowance amount that was automatically subtracted before applying the table factors in the calculation. For other systems that do not separately subtract the allowance amount, use the tables for Computing Income Tax Withholding From Gross Wages.

When employers use the Wage Bracket Percentage Method Tables, the tax for the period may be rounded to the nearest dollar. If rounding is used, it must be used consistently. Withheld tax amounts should be rounded to the nearest whole dollar by: (a) dropping amounts under 50 cents and (b) increasing amounts from 50 to 99 cents to the next higher dollar. Such rounding will be deemed to meet the tolerances under section 3402(h)(4).

Wage Bracket 1

Wage Bracket 1

Wage Bracket 2

Wage Bracket 2

Wage Bracket 3

Wage Bracket 3

Wage Bracket 4

Wage Bracket 4

Wage Bracket 5

Wage Bracket 5

Wage Bracket 6

Wage Bracket 6

Wage Bracket 7

Wage Bracket 7

Wage Bracket 8

Wage Bracket 8

Combined Income Tax, Employee Social Security Tax, and Employee Medicare Tax Withholding Tables

If you want to combine amounts to be withheld as income tax, employee social security tax, and employee Medicare tax, you may use the combined tables on pages 38-57.

Combined withholding tables for single and married taxpayers are shown for weekly, biweekly, semimonthly, monthly, and daily or miscellaneous payroll periods. The payroll period and marital status of the employee determine the table to be used.

If the wages are greater than the highest wage bracket in the applicable table, you will have to use one of the other methods for figuring income tax withholding described in this publication. For wages that do not exceed $87,000, the combined social security tax rate and Medicare tax rate is 7.65% each for both the employee and the employer for wages paid in 2003. You can figure the employee social security tax by multiplying the wages by 6.2%, and you can figure the employee Medicare tax by multiplying the wages by 1.45%.

The combined tables give the correct total withholding only if wages for social security and Medicare taxes and income tax withholding are the same. When you have paid more than the maximum amount of wages subject to social security tax ($87,000 in 2003) in a calendar year, you may no longer use the combined tables.

If you use the combined withholding tables, use the following steps to find the amounts to report on your Form 941, Employer's Quarterly Federal Tax Return.

  1. Employee social security tax withheld. Multiply the wages by 6.2%.

  2. Employee Medicare tax withheld. Multiply the wages by 1.45%.

  3. Income tax withheld. Subtract the amounts from steps 1 and 2 from the total tax withheld.

You can figure the amounts to be shown on Form W-2, Wage and Tax Statement, in the same way.

Note:

Do not use the tables on pages 38-57 to withhold income tax only. Instead, use the tables on pages 5-24.

Combined Withholding 1

Combined Withholding 1

Combined Withholding 2

Combined Withholding 2

Combined Withholding 3

Combined Withholding 3

Combined Withholding 4

Combined Withholding 4

Combined Withholding 5

Combined Withholding 5

Combined Withholding 6

Combined Withholding 6

Combined Withholding 7

Combined Withholding 7

Combined Withholding 8

Combined Withholding 8

Combined Withholding 9

Combined Withholding 9

Combined Withholding 10

Combined Withholding 10

Combined Withholding 11

Combined Withholding 11

Combined Withholding 12

Combined Withholding 12

Combined Withholding 13

Combined Withholding 13

Combined Withholding 14

Combined Withholding 14

Combined Withholding 15

Combined Withholding 15

Combined Withholding 16

Combined Withholding 16

Combined Withholding 17

Combined Withholding 17

Combined Withholding 18

Combined Withholding 18

Combined Withholding 19

Combined Withholding 19

Combined Withholding 20

Combined Withholding 20

Tables for Withholding on Distributions of Indian Gaming Profits to Tribal Members

If you make certain payments to members of Indian tribes from gaming profits, you must withhold Federal income tax. You must withhold if: (a) the total payment to a member for the year is over $8,000 and (b) the payment is from the net revenues of class II or class III gaming activities (classified by the Indian Gaming Regulatory Act) conducted or licensed by the tribes.

A class I gaming activity is not subject to this withholding requirement. Class I activities are social games solely for prizes of minimal value or traditional forms of Indian gaming engaged in as part of tribal ceremonies or celebrations.

Class II.   Class II includes: (a) bingo and similar games, such as pull tabs, punch boards, tip jars, lotto, and instant bingo, and (b) card games that are authorized by the state or that are not explicitly prohibited by the state and played at a location within the state.

Class III.   A class III gaming activity is any gaming that is not class I or class II. Class III includes horse racing, dog racing, jai alai, casino gaming, and slot machines.

Withholding Tables

To figure the amount of tax to withhold each time you make a payment, use the table on page 59 for the period for which you make payments. For example, if you make payments weekly, use Table 1; if you make payments monthly, use Table 4. If the total payments to an individual for the year are $8,000 or less, no withholding is required.

Example:

A tribal member is paid monthly. The monthly payment is $5,000. Using Table 4, Monthly Distribution Period, figure the withholding as follows:

Subtract $3,092 from the $5,000 payment for a remainder of $1,908. Multiply this amount by 25%, for a total of $477.00. Add $333.95, for total withholding of $810.95.

Depositing and reporting withholding.   Combine the Indian gaming withholding with all other nonpayroll withholding (e.g., backup withholding and withholding on gambling winnings). Generally, you must deposit the amounts withheld by electronic funds transfer or at an authorized financial institution using Form 8109, Federal Tax Deposit Coupon. See Circular E (Pub. 15), Employer's Tax Guide, for a detailed discussion of the deposit requirements.

  Report Indian gaming withholding on Form 945, Annual Return of Withheld Federal Income Tax. For more information, see Form 945 and its instructions. Also, report the payments and withholding to tribal members and to the IRS on Form 1099-MISC, Miscellaneous Income (see the Instructions for Forms 1099-MISC).

  
Indian Gaming Profits

Indian Gaming Profits

Blank Form W-4

Blank Form W-4

Back of Blank Form W-4

Back of Blank Form W-4

Notice to Employees

Notice to Employees

Quick &Easy Access

Quick &Easy Access

Previous | First | Next

Publications Index | 2004 Tax Help Archives | Tax Help Archives Main | Home